| Главная » Учебно-методические материалы » ЭКОНОМИЧЕСКАЯ ТЕОРИЯ (МИКРО-, МАКРО) » Экономическая теория: конспект лекций. Васильева Е.В., Макеева Т.В. |
| 19.12.2011, 01:16 | |
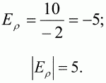
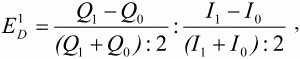
5.1. Общее понятие эластичностиДля определения «скорости изменения» спроса и предложения товаров на рынке экономистами введено понятие «эластичность». Концепция эластичности впервые была введена в экономическую науку Альфредом Маршаллом (1842–1924). Под эластичностью следует понимать процент изменения величины одной переменной в результате изменения на одну единицу величины другой переменной. Таким образом, эластичность показывает, на сколько процентов изменится одна переменная экономическая величина при изменении другой на один процент. Способность потребления и спроса изменяться в определенных рамках под влиянием экономических факторов носит название эластичности потребления и спроса. Эластичность спроса и предложения необходима для составления проектов экономического развития и экономических прогнозов. Без этого сейчас не функционирует ни одна рыночная (смешанная) экономическая система. Под эластичностью спроса следует понимать степень изменения спроса в ответ на изменение цен. Под эластичностью предложения следует понимать относительные изменения цен товаров и их количества, предлагаемых к продаже. 5.2. Эластичность спроса по ценеСуществуют следующие виды эластичности спроса: 1) эластичный спрос считается таковым, если при незначительных повышениях цен существенно возрастает объем продаж; 2) спрос единичной эластичности. Когда 17 %-ное изменение цены вызывает 1 %-ное изменение спроса на товар; 3) неэластичный спрос. Проявляется в том, что при существенных изменениях цены объем продаж изменяется незначительно; 4) бесконечно эластичный спрос. Имеется только одна цена, по которой потребители покупают товар; 5) совершенно неэластичный спрос. Когда потребители приобретают фиксированное количество товаров независимо от их цены. Эластичность спроса по цене, или ценовая эластичность спроса, показывает, насколько изменится в процентном отношении величина спроса на товар при изменении его цены на 1 %. Эластичность спроса возрастает при наличии товаров-заменителей – чем больше заменителей, тем более эластичным является спрос, и понижается при повышенном спросе потребителя на данный товар, т. е. степень эластичности тем ниже, чем более необходим товар. Если обозначить цену Р, а величину спроса Q, то показатель (коэффициент) ценовой эластичности спроса Ер равен: ![]() где ?Q – изменение величины спроса, %; ?Р – изменение цены, %; «Р» – в индексе означает, что эластичность рассматривается по цене. Аналогично можно определить показатель эластичности по доходам или какой-то другой экономической величине. Показатель ценовой эластичности спроса для всех товаров – отрицательная величина. Действительно, если цена товара снижается – величина спроса растет, и наоборот. Однако для оценки эластичности часто используется абсолютная величина показателя (знак «минус» опускается). Например, снижение цены подсолнечного масла на 2 % вызвало увеличение спроса на него на 10 %. Показатель эластичности будет равен: ![]() Если абсолютная величина показателя ценовой эластичности спроса больше 1, то мы имеем дело с относительно эластичным спросом: изменение цены в данном случае приведет к большему количественному изменению величины спроса. Если абсолютная величина показателя ценовой эластичности спроса меньше 1, то спрос относительно неэластичен: изменение цены повлечет за собой меньшее изменение величины спроса. Если коэффициент эластичности равен 1 – это единичная эластичность. В таком случае изменение цены приводит к такому же количественному изменению величины спроса. Существует два крайних случая. В первом возможно существование только одной цены, при которой товар будет приобретаться покупателями. Любое изменение цены приведет либо к полному отказу от приобретения данного товара (если цена повысится), либо к неограниченному увеличению спроса (если цена снизится) – спрос абсолютно эластичный, показатель эластичности бесконечен. Графически этот случай можно изобразить в виде прямой, параллельной горизонтальной оси. Например, спрос на молочнокислую продукцию, продаваемую отдельным торговцем на городском рынке, абсолютно эластичен. Однако рыночный спрос на молочно-кислую продукцию не считается эластичным. Другой крайний случай представляет собой пример абсолютно неэластичного спроса, когда изменение цены не отражается на величине спроса. График абсолютно неэластичного спроса выглядит как прямая, перпендикулярная горизонтальной оси. Примером может служить спрос на отдельные виды лекарств, без которых больной не может обойтись, и т. п. Таким образом, абсолютная величина показателя ценовой эластичности спроса может изменяться от нуля до бесконечности: ![]() Из формулы (1) видно, что показатель эластичности зависит не только от соотношения приростов цены и объема или от наклона кривой спроса, но и от их фактических значений. Даже если наклон кривой спроса постоянен, показатель эластичности будет различным для разных точек на этой кривой. Существует еще одно обстоятельство, которое следует учитывать при определении эластичности. На участках эластичного спроса снижение цены и рост объема продаж приводят к увеличению общей выручки от реализации продукции фирмы, на участке неэластичного спроса – к ее уменьшению. Поэтому каждая фирма будет стремиться избегать того участка спроса на свою продукцию, где коэффициент эластичности меньше единицы. 5.3. Эластичность спроса по доходу. Перекрестная эластичностьПод эластичностью спроса по доходам понимается изменение спроса на товар в связи с изменением доходов потребителей. Если рост доходов приводит к росту спроса на товар, то данный товар относится к категории «нормальных», при снижении доходов потребителя и росте спроса на товар – товар относится к категории «низших». В основной своей массе потребительские товары относятся к категории нормальных. Измерения эластичности по доходам показывают, относится ли данный товар к категории «нормальных» или «низших». Эластичность спроса по доходам равна отношению процентного изменения величины спроса на товар к процентному изменению дохода и может быть выражена в виде следующей формулы: ![]() где E1D – коэффициент эластичности спроса в зависимости от дохода; Q0 и Q1 – величина спроса до и после изменения дохода; I0 и I1 – доход до и после изменения. На эластичность спроса большое влияние оказывает наличие на рынке товаров, призванных удовлетворить одну и ту же потребность, т. е. товаров-заменителей. Эластичность спроса на товар тем выше, чем больше у покупателя возможностей отказаться от приобретения данного конкретного продукта в случае роста его цены. С увеличением доходов мы больше покупаем одежды и обуви, высококачественных продуктов питания, бытовой техники. Но существуют товары, спрос на которые обратно пропорционален доходам потребителей: вся продукция «second hand», некоторые виды продовольствия (крупы, сахар, хлеб и т. п.). На товары первой необходимости, такие, например, как хлеб, спрос относительно неэластичен. В то же время спрос на отдельные сорта хлеба относительно эластичный. Спрос на сигареты, лекарства, мыло и другие подобные продукты относительно неэластичен. При наличии на рынке значительного количества конкурентов спрос на продукцию фирм, выпускающих аналогичную или близкую по назначению продукцию, будет относительно эластичен. При росте конкурентоспособности фирм, когда много продавцов предлагают одинаковую продукцию, спрос на товар каждой фирмы будет абсолютно эластичным. Для определения степени влияния изменения цены одного товара на изменение спроса на другой товар используется понятие перекрестной эластичности. Так, подорожание сливочного масла вызовет увеличение спроса на маргарин, снижение цены на бородинский хлеб приведет к сокращению спроса на другие сорта черного хлеба. Перекрестная эластичность – зависимость спроса от товаров-субститутов и товаров, взаимодополняющих друг друга. Коэффициент перекрестной эластичности – это отношение процентного изменения спроса на товар А к процентному изменению цены товара Б: ![]() где «с» в индексе означает перекрестную эластичность (от англ. cross). Значение коэффициента зависит от того, какие товары рассматриваются – взаимозаменяемые или взаимодополняемые. Коэффициент перекрестной эластичности положителен, если товары взаимозаменяемые; отрицателен, если товарывзаимодополняемые, как, например, бензин и автомобили, фотоаппараты и фотопленка, величина спроса будет изменяться в направлении, противоположном изменению цен. Таким образом, определив значение коэффициента перекрестной эластичности, можно узнать, считаются ли выбранные товары взаимодополняемыми или взаимозаменяемыми, и соответственно, как изменение цены на один вид продукции, который производится фирмой, может отразиться на спросе на другие виды продукции той же фирмы. Такие расчеты помогут фирме при принятии решений по ценовой политике на выпускаемую продукцию. На ценовую эластичность большое влияние оказывает фактор времени. Спрос менее эластичен в коротком промежутке времени и более эластичен в длительном. Такая тенденция изменения эластичности во времени объясняется возможностью потребителя с течением времени изменить свою потребительскую корзину, найти товар-заменитель. Различия в эластичности спроса объясняются также значимостью того или иного товара для потребителя. Спрос на предметы первой необходимости неэластичен; спрос на товары, не играющие важной роли в жизни потребителя, обычно эластичен. 5.4. Эластичность предложенияЭластичность предложения – чувствительность величины предложения товаров к изменению цен на эти товары. На эластичность предложения оказывают влияние: наличие или отсутствие резервов производства – если имеются резервы, то в краткосрочном периоде предложение эластично; наличие возможности хранить запасы готовой продукции – предложение эластично. Существуют следующие виды эластичности предложения: 1) эластичное предложение. 1 %-ное увеличение цены вызывает значительное увеличение предложения товаров; 2) предложение единичной эластичности. 1 %-ное увеличение цены ведет к 1 %-ному увеличению предложения товаров на рынке; 3) неэластичное предложение. Увеличение цены не оказывает влияния на количество товаров, предлагаемых к продаже; 4) эластичность предложения в мгновенный период (т. е. период времени малый, и производители не успевают отреагировать на изменения) – предложение фиксировано; 5) эластичность предложения в долгосрочный период (отрезок времени, достаточный для создания новых производственных мощностей) – предложение наиболее эластично. Для того чтобы определить, как производство той или иной продукции влияет на изменение цены, измеряется эластичность предложения по цене. Эластичность предложения измеряется относительным (в процентах или долях) изменением величины предложения при изменении цены на 1 %. Формула коэффициента ценовой эластичности предложения аналогична расчету коэффициента ценовой эластичности спроса. Различие лишь в том, что вместо величины спроса берется величина предложения: ![]() где Q0 u Q1 – предложение до и после изменения цены; Р0 и Р1 – цены до и после изменения; s – в индексе означает эластичность предложения. В отличие от спроса, предложение менее связано с изменениями производственного процесса и более адаптируется к изменению цены. На эластичность предложения оказывают влияние: наличие или отсутствие резервов производства – если есть резервы, то в краткосрочном периоде времени предложение эластично; наличие возможности хранить запасы готовой продукции – предложение эластично. 5.5. Эластичность предложения с учетом фактора времениФактор времени – важнейший показатель в определении эластичности. Существует три временных периода, влияющих на эластичность предложения, – краткосрочный, среднесрочный и долгосрочный. Краткосрочный период – слишком короткий для осуществления фирмой каких-либо изменений в объеме выпускаемой продукции, и в этом временном периоде предложение неэластично. Среднесрочный период повышает эластичность предложения, так как дает возможность расширить или сократить производство продукции на существующих производственных мощностях, но он недостаточен для введения новых мощностей. Долгосрочный период при росте спроса на товары отрасли допускает расширение или сокращение фирмой своих производственных мощностей, а также приток в отрасль новых фирм или, при сокращении спроса на продукцию отрасли, закрытие фирм. Эластичность предложения в данном периоде выше, чем в двух предыдущих периодах. Следует отметить, что предложение в текущем периоде остается фиксированным, так как производители не успевают отреагировать на изменения на рынке. 5.6. Практическая значимость эластичности спроса и предложенияЭластичность спроса – важный фактор, влияющий на ценовую политику фирмы. Если эластично предложение, то в связи с ростом цены на товар и сокращением объема производства налоговое бремя ложится в основном на потребителя, сумма налога снижается по сравнению с суммой налога при неэластичном предложении, потери общества возрастают. Таким образом, теория эластичности спроса и предложения имеет важное практическое значение. Увеличение издержек производства вынуждает предприятие повышать цены на продукцию. Чтобы знать, каким образом сбыт отреагирует на эти изменения, и правильно выбрать ценовую стратегию предприятия, надо определить эластичность спроса и предложения на данный товар. Следует иметь в виду следующее: эластичность спроса на продукцию фирмы и эластичность рыночного спроса не совпадают. Первая всегда (за исключением абсолютной монополии фирмы на рынке) выше второй. Расчет ценовой эластичности спроса на продукцию фирмы довольно сложен, так как необходимо принимать во внимание и реакцию конкурентов на повышение или понижение фирмой цены, использовать математические модели или опыт руководителей фирмы. Если фирма при принятии решения о цене будет руководствоваться только данными об эластичности рыночного спроса, то потери сбыта от повышения цен могут стать более значительными, чем ожидалось. Предположим: какая-то фирма построила многоквартирный дом и решает вопрос, по какой цене следует предлагать квартиры съемщикам. Расходы на строительство и эксплуатацию фактически не зависят от того, сколько квартир будет сдано (за исключением расходов на текущий ремонт, что составляет небольшую долю от общих расходов). Когда фирма знает спрос на квартиры и его эластичность, она может определить, по какой цене следует сдавать эти квартиры, чтобы обеспечить максимальную выручку. При этом максимальная выручка может достигаться даже в том случае, если часть квартир останется пустовать. В зависимости от эластичности спроса и предложения на отдельные виды товаров и услуг налоговое бремя будет распределяться по-разному между производителями и потребителями продукции. Вводя косвенные налоги, государство преследует цель увеличить объем налоговых поступлений в бюджет для перераспределения ресурсов в экономике, перераспределения доходов населения и поддержки малоимущих, развития социальной сферы, инфраструктуры, обороны и т. п. Выводы1. Для определения «скорости изменения» спроса и предложения экономистами используется понятие эластичности спроса и предложения. Эластичность спроса и предложения необходимы для составления проектов экономического развития и экономических прогнозов. Под эластичностью следует понимать процент изменения величины одной переменной в результате изменения на одну единицу величины другой. 2. Эластичность спроса по цене, или ценовая эластичность спроса, показывает, насколько изменится в процентном отношении величина спроса на товар при изменении его цены на 1 %. 3. Если абсолютная величина показателя ценовой эластичности спроса больше 1, то мы имеем дело с относительно эластичным спросом. Если абсолютная величина показателя ценовой эластичности спроса меньше 1, то спрос относительно неэластичен. При эластичном спросе снижение цены и рост объема продаж приводят к увеличению общей выручки от реализации продукции фирмы, на участке неэластичного спроса – к уменьшению выручки. Каждая фирма стремится избежать того участка спроса на свою продукцию, где коэффициент эластичности меньше единицы. 4. При коэффициенте эластичности, равном 1 (единичная эластичность), изменение цены приводит к такому же количественному изменению величины спроса. 5. Эластичность спроса по доходам – отношение изменения спроса на товар к изменению доходов потребителей. 6. Перекрестная эластичность спроса используется для определения степени влияния на величину спроса на данный товар изменения цены другого товара (товара, заменяющего данный товар, или товара, дополняющего его). 7. Коэффициент перекрестной эластичности – это отношение процентного изменения спроса на товар А к процентному изменению цены товара Б. 8. Эластичность предложения – чувствительность величины предложения товаров к изменению цен на эти товары. Эластичность предложения измеряется относительным (в процентах или долях) изменением величины предложения при изменении цены на 1 %. 9. На эластичность предложения важное влияние оказывает фактор времени. При оценке эластичности предложения рассматриваются три временных периода: краткосрочный, среднесрочный и долгосрочный. | http://lib.rus.ec/ |







