| Главная » Учебно-методические материалы » МЕНЕДЖМЕНТ » Менеджмент: учебный курс (часть 1) |
| 18.01.2012, 18:28 | |||||||||||||||||||||||||||||||||||||||||||||||||
| 13.1. Типы производств, их технико-экономические характеристики Организация технологического процесса выделяет три типа производств, под которыми понимают его качественные особенности, заключающиеся в масштабе выпускаемой продукции, количестве и степени повторяемости:
Массовый – это такой тип производства, который характеризуется большим выпуском однородной продукции при однозначности исходных материалов, технологических схем, параметров процесса, применяемого оборудования. При массовых производственных процессах рабочие места постоянно загружены выполнением одной и той же операции над одними и теми же деталями. Ограниченная номенклатура выпускаемой продукции и большой масштаб выпуска позволяют проводить внутри завода не только специализацию цехов, их отделений, но и отдельных рабочих мест. Здесь широко применяются специально сконструированные станки, автоматы, оборудование. Чем ближе предприятие к массовому типу производства, чем больше масштаб выпуска, тем быстрее растет производительность труда и ниже себестоимость продукции. Серийный тип производства характеризуется выпуском отдельных видов однородной продукции сериями или партиями. При этом типе производства номенклатура изделий ограничена, оборудование специализированное и даже универсальное располагается смешанно, на некоторых участках последовательно. В зависимости от размеров партии серийное производство может быть крупно- и мелкосерийным. Крупносерийное производство характеризуется выпуском сравнительно узкой номенклатуры изделий, изготавливаемых в больших количествах, но все же недостаточных для применения методов массового типа производства. Мелкосерийное производство организуется для выпуска продукции, требующейся в небольших количествах. Переналаживание оборудования осуществляется через смену. Поэтому мелкосерийные предприятия приходится загружать относительно небольшой и разнообразной номенклатурой изделий. Чем крупнее серия, тем реже переналадка процесса. Поэтому крупно-серийное производство экономически эффективней. Существует также единичный тип производства, при котором выпуск однородной продукции исчисляется единицами, причем смена каждой единицы продукции требует изменения технологической схемы, структуры производственного процесса, переналадки оборудования. Этот тип производства чаще всего встречается в тяжелом машиностроении. Все сказанное о типах производств можно представить в виде таблицы, характеризующей технико-экономические особенности производств (табл. 13.1). Таблица 13.1 Технико-экономические особенности производств
Один из определяющих показателей деятельности предприятия себестоимость – по мере перехода от единичного типа производства к массовому снижается (рис. 13.1), что обеспечивает эффективность производства.
Рис. 13.1. Зависимость себестоимости продукции от типа производства 13.2. Методы организации производства С типом производства, определяющим параметры производственного процесса, связан выбор методов организации производства, планирования, учета, контроля и регулирования. Однако следует подчеркнуть, что одни и те же методы организации могут быть использованы при различных типах производства. Методы организации производства подразделяются на поточные и не поточные. Наиболее совершенными являются поточные. Поточный метод Основными чертами всякого поточного производства являются:
Основным звеном поточного производства является поточная линия, представляющая собой определенный комплекс рабочих мест, расположенных по ходу технологического процесса, в пределах которых выполняется какая-либо его стадия или весь процесс в целом. Поточное производство классифицируется по следующим признакам: 1. По пространственному размещению.
o сходящиеся; o расходящиеся; o комбинированные. Структура потока, и в первую очередь ее сложность, оказывает значительное влияние на решение многих технических и организационных вопросов. При сложной структуре, например, весьма затруднительно разместить процесс в пространстве, обеспечить пропорциональность производственных звеньев, сочетать и координировать деятельность коллективов работников, разных стадий производства, различных производственных подразделений и др. Сложная структура затрудняет нормирование, планирование и организацию производства и весь процесс управления производственной подсистемой. 2. По характеру движения предмета труда
o узкая специализация рабочих мест; o их цепное расположение; o обеспечение последовательной передачи полуфабрикатов с операции на операцию; o равенство или кратность времени обработки на всех рабочих местах. Однако даже в непрерывно-поточном производстве полная синхронизация, а следовательно, и полная непрерывность производства не всегда достижимы. 3. По масштабу охвата операций процесса – поточные линии: участковые, цеховые, заводские. 4. По постоянству номенклатуры продукции, закрепляемой за рабочим местом – постоянно-поточное (массовое) и переменно-поточное (серийное) производство. 5. По степени непрерывности – прямоточное производство (синхронизация отсутствует) и непрерывно-поточное (операции синхронизированы). Применение непрерывно-поточного производства обеспечивает увеличение выпуска продукции и улучшение всех экономических показателей: повышение производительности труда, сокращение незавершенного производства, улучшение использования основных производственных фондов, повышение качества продукции, повышение ритмичности производства, снижение себестоимости продукции, рост прибыли. Непрерывно-поточные и непрерывные методы имеют большое значение для совершенствования техники производства. Непрерывный поток содействует повышению уровня организации труда. Наибольшее распространение он получил в массовом производстве, но успешно применяется и в серийном, особенно в крупносерийном. Непоточные методы.
13.3. Организация производственного процесса в пространств Для эффективного ведения производства необходимо рационально построить производственный процесс в пространстве, т. е. определить исходя из особенностей производства наиболее эффективную структуру предприятия. Под производственной структурой предприятия понимается состав образующих его участков, цехов и служб, формы их взаимосвязи в процессе производства продукции. Производственная структура выражает свойство предприятия как кибернетической системы – ее иерархичность, т. е. степень ее организованности и управляемости. Таким образом, производственная структура характеризует разделение труда между подразделениями предприятия и их кооперацию. Следовательно, она оказывает существенное влияние на технико-экономические показатели производства, на структуру управления предприятием и цехом, организацию оперативного и бухгалтерского учета. В отличие от производственной структуры общая структура предприятия, помимо подразделений, входящих в производственную структуру, включает различные общезаводские службы и хозяйства, в том числе и связанные с культурно-бытовым обслуживанием работников предприятия (жилищно-коммунальное хозяйство, столовые, больницы, поликлиники, стадио-ны, детские сады и пр.). При построении производственной структуры предприятия должна быть обеспечена целесообразная специализация его подразделений и их укрупнение, прямоточный ход производства, а планирование и учет должны создать возможность систематического контроля, анализа и объективной оценки результатов работы каждого подразделения. Основной структурной единицей крупного предприятия является цех. Цех наделяется определенной производственно-хозяйственной самостоятельностью, он является обособленной в организационном, техническом и административном отношении производственной единицей, находится на хозяйственном расчете и выполняет обусловленные внутризаводским разделением труда работы. Каждый цех получает от заводоуправления единое плановое задание, регламентирующее объем выполняемых работ, качественные показатели и предельные затраты на запланированный объем работ. В цехе осуществляется оперативный учет. Обычно цех имеет самостоятельный бухгалтерский учет и отчетность. Цехи делятся на производственные участки. Производственный участок – это часть цеха, имеющая однородные или сопряженные в технологическом отношении рабочие места, выполняющие единое производственное задание. На небольших предприятиях применяется бесцеховая структура, при которой основной структурной единицей предприятия является производственный участок. Производственная структура предприятия формируется с учетом многих факторов. К главнейшим из них относятся:
Производственная структура предопределяется прежде всего характером изготавливаемой продукции, ее конструктивными особенностями и технологией ее изготовления. Однако на производственную структуру существенно влияют масштаб производства и трудоемкость изготовления продукции. Так, при большом масштабе производства и относительной трудоемкости изготовления продукции создаются соответствующие крупные цехи, а в ряде случаев и несколько крупных специализированных цехов, выполняющих сходные технологические переделы. Наоборот, при сравнительно небольшом объеме работ по определенному технологическому переделу экономически нецелесообразно организовывать, например, свой литейный цех, а следует получать литье по кооперированию от специализированных предприятий. Углубление специализации предприятия и его кооперирование с другими предприятиями упрощает производственную структуру и повышает эффективность производства, способствует упрощению оперативного и бухгалтерского учета. Все многообразие цехов промышленных предприятий классифицируется по их роли в процессе производства на две группы – основные и вспомогательные. Основные цехи осуществляют процессы производства продукции, являющейся специализацией предприятия. Вспомогательные цехи изготавливают продукцию для нужд основных цехов (инструментальные, ремонтно-механические и пр.). Эти цехи способствуют изготовлению основной продукции, создают условия для нормальной работы основных цехов, обеспечивают их инструментом, осуществляют ремонт оборудования и т. п. На ряде предприятий создаются побочные цехи, изготовляющие продукцию из отходов основного производства. Обслуживающие цехи и хозяйства производственного назначения выполняют работы, связанные с обслуживанием основных и вспомогательных цехов предприятия. К ним относятся: складское и транспортное хозяйство, энергетическая служба (котельные, компрессорные и т. п.), телефонная связь, санитарно-технические службы и др. Цехи предприятия могут быть организованы на основе технологической или предметной специализации. При технологической специализации цех специализируется на выполнении однородных технологических операций (например, на текстильном предприятии: прядильный, ткацкий, отделочные цехи; на машиностроительном: штамповочный, литейный, термический, механообрабатывающий, сборочный). Технологическая специализация приводит к усложнению взаимосвязей между участками цеха и цехами, к частым переналадкам оборудования. Расположение оборудования по группам, выполняющим однородные работы, приводит к встречным перевозкам предметов труда, увеличивает протяженность транспортировки и длительность производственного цикла, объем незавершенного производства, а следовательно, и оборотных средств, существенно усложняет учет. Вместе с тем технологическая специализация цехов имеет и определенные положительные моменты – возможность обеспечения высокой загрузки оборудования и определенная простота руководства производством, занятым выполнением одного технологического процесса. Такое построение цехов характерно для предприятий, номенклатура которых разнообразна и часто меняется. При предметной специализации цехи специализируются на изготовлении изделия или его части, применяя при этом различные технологические процессы. Такие цехи оснащаются соответственным оборудованием для выполнения разных операций, связанных с изготовлением закрепленных за ними изделий. Предметное построение создает возможность организации предметно-замкнутых цехов, в которых выполняются разнородные технологические процессы (например, механосборочные цехи). Такие цехи имеют законченный цикл производства. Предметная специализация имеет значительные преимущества перед технологической. Здесь существенно повышается ответственность коллектива цеха за качество и срок выпуска конечной продукции в установленной номенклатуре. Более глубокая специализация рабочих мест открывает возможность применения высокопроизводительного оборудования, обеспечивает рост производительности труда и повышает качество продукции. Замкнутое построение производственного процесса в пределах цеха уменьшает затраты времени и средств на транспортировку, приводит к сокращению длительности производственного цикла. Все это упрощает управление, планирование производства и его учет, приводит к повышению технико-экономических показателей работы. Однако при незначительном объеме производства и трудоемкости закрепленных за цехом изделий предметная специализация может оказаться неэффективной, так как приведет к недогрузке оборудования и производственных площадей. Промышленные предприятия могут быть организованы с полным или неполным циклом производства. Предприятия с полным циклом производства имеют все необходимые цехи и службы для изготовления сложного изделия, а на предприятиях с неполным циклом производства отсутствуют некоторые цехи, относящиеся к некоторым стадиям производства. Так, машиностроительные заводы могут не иметь своих литейных и кузнечных це-хов, а получать литье и поковки по кооперации от специализированных предприятий. Совершенствование производственной структуры создает условия для интенсификации производства; эффективного использования трудовых, материальных и финансовых ресурсов; повышения качества продукции; сокращения затрат на управление и обслуживание производства; способствует улучшению календарного планирования и регулирования производства, оперативного и бухгалтерского учета; создает предпосылки для углубления внутризаводского хозрасчета. Структурное изменение предприятия должно сопровождаться изменениями в управлении, планировании и учете производства в масштабе как всего предприятия, так и его цехов. Главным направлением совершенствования производственной структуры является углубление специализации, что в наибольшей степени реализуется в условиях объединений. Здесь рост масштабов специализированного производства, унификация деталей и узлов изготавливаемой продукции приводят к концентрации производства, широкому кооперированию специализированных предприятий, углублению предметной специализации подразделений, а следовательно, и к уменьшению их количества. Совершенствование технической базы производства и внедрение новой технологии приводит, с одной стороны, к появлению новых цехов и участков для выполнения этих процессов, а с другой – к объединению ряда цехов и участков. Так, применение станков с числовым программным управлением (ЧПУ) приводит к интеграции операций, которые ранее выполнялись на универсальных станках в ряде цехов и участков, и, следовательно, к сокращению числа рабочих мест. Совершенствование производственной структуры должно идти по пути расширения предметной специализации, организации предметных участков и цехов при высокой загрузке оборудования, укрупнения цехов и участков, централизации вспомогательных подразделений предприятия. 13.4. Структура и длительность производственного цикла Производственный цикл (ПЦ) – это упорядоченная совокупность всех процессов, через которые проходит изделие от начала до окончания его изготовления. Основными характеристиками производственного цикла являются:
Укрупненная структура производственного цикла изготовления изделий включает активные процессы изготовления изделий и пролеживания изделия. Длительность производственного цикла (Тц) изготовления изделия – это календарный период времени от момента начала до момента окончания изготовления изделия в целом, включая его компоненты. В общем виде Тц определяется как сумма длительностей выполнения основных (Тосн) и вспомогательных (Твсп) операций и продолжительностей пролеживания изделий в рабочее (Тпр.р.) и нерабочее (Тпр.н.) время: Тц.=Тосн .+ Твсп. + Тпр.р. + Тпр.н. В структуре производственного цикла выделяется операционный цикл (То.ц.). Его величина определяется длительностью технологической операции и подготовительно-заключительного времени. При расчете длительности производственного цикла необходимо учитывать, что изделия в большинстве случаев изготавливаются партиями. Партия изделий – это совокупность изделий одного типа, запускаемая в производство одновременно или непрерывно в течение определенного интервала времени. Размер партии – это количество изделий в партии. Работа партиями повышает производительность труда рабочих, уменьшает затраты на выполнение подготовительно-заключительных работ, а следовательно, способствует сокращению длительности производственного цикла изготовления изделий. При определении длительности производственного цикла очень важным является вопрос о рациональном выборе вида движения партии изделий через совокупность последовательно выполняемых операций. Именно от выбора вида движения изделий в производстве зависит степень непрерывности и параллельности выполнения операций и длительность производственного цикла. 13.5. Виды движения изделий в производственном процессе Производственный цикл во многом зависит от способа передачи детали (изделия) с операции на операцию. Существует три вида движения предметов труда в процессе их изготовления: последовательный, параллельный, параллельно-последовательный. Достоинством последовательного вида движения предметов труда является отсутствие перерывов в работе оборудования и рабочего на каждой операции, возможность высокой их загрузки в течение смены, но производственный цикл при этом виде движения наибольший, что отрицательно влияет на технико-экономические показатели работы цехов и предприятия. Параллельный вид движения предметов труда является наиболее эффективным, но возможности его применения ограничены, так как обязательным условием такого движения является равенство или кратность продолжительности выполнения операций. В противном случае неизбежны перерывы в работе оборудования и рабочего. Параллельно-последовательный вид движения предметов труда обеспечивает работу оборудования и рабочего без перерывов. Производственный цикл при этом виде больше по сравнению с параллельным, но меньше, чем при последовательном виде движения изделий. При изготовлении деталей партиями возможно применение всех трех способов, при больших партиях – параллельного и параллельно- последовательного. Сущность последовательного вида движения заключается в том, что каждая последующая партия начинается только после окончания обработки всех партий деталей на предыдущей операции (рис. 13.2).
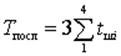
Рис. 13.2. Схема последовательного движения В приведенном примере рассчитывается операционный цикл партии, состоящей из трех деталей, обрабатываемых на четырех рабочих местах. Операционный цикл Тпосл. Составит Тпосл.=3(tш1 + tш + tш3 + tш4) = 3(2 + 1 + 4 + 1,5) = 25,5;
Операционный производственный цикл партии деталей при последовательном виде движения рассчитывается
где п – количество деталей в производственной партии, шт.; Чоп – число операций технологического процесса; tшi – выполнение каждой операции (норма штучного времени), мин. Параллельный вид движения характеризуется передачей деталей на последующую операцию немедленно после выполнения предыдущей операции независимо от готовности остальной партии. Детали передаются с операции на операцию поштучно или операционными партиями, на которые делится производственная партия деталей в процессе изготовления (рис. 13.3). Процесс происходит непрерывно, если достигнуто полное равенство или кратность выполнения операций во времени, что характерно для поточных линий. В противном случае могут иметь место простои оборудования в ожидании изделия или пролеживание деталей вследствие занятости рабочего места.
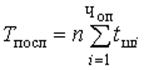
Рис. 13.3. График движения партии деталей на параллельном движении предметов труда По графику можно определить операционный цикл при параллельном виде движения Тпар.=3(tш1 + tш2 + tш3 + tш4) + (3 - 1) tш3 = 8,5 + (3 - 1) 4 = 16,5 мин. Формула для расчета
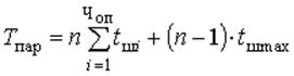
где tш max – время выполнения операции, самой продолжительной в технологическом процессе, мин. Параллельно-последовательный вид движения состоит в том, что изготовление изделий на последующей операции начинается до окончания изготовления всей партии на предыдущей операции с таким расчетом, чтобы работа на каждой операции по данной партии в целом шла без перерывов. Здесь, в отличие от параллельного вида движения, происходит лишь частичное совмещение во времени выполнения смежных операций. Существуют два вида сочетания смежных операций во времени. Если время выполнения последующей операции больше времени выполнения предыдущей операции, представляется возможным применять параллельный вид движения деталей, полностью загружая рабочие места. Если время выполнения последующей операции меньше времени выполнения предыдущей, приемлем параллельно-последовательный вид движения с максимально возможным совмещением во времени выполнения обеих операций. Максимально совмещенные операции при этом отличаются друг от друга на время изго-товления последней детали (или последней операционной партии) на последующей операции. Схема параллельно-последовательного вида движения показана на рис. 13.4. В данном случае операционной цикл будет меньше, чем при последовательном виде движения на величину совмещения каждой смежной пары операций: первая и вторая операции - АВ = (3 - 1) tш2; вторая и третья операции - ВГ = А'B' = (3 - 1) tш2; третья и четвертая операции - ДЕ = (3 - 1) tш4, где tш2 и tш4 имеют более короткое время (tш.кор из каждой смежной пары операций).
Рис. 13.4. График параллельно-последовательного вида движения предметов труда Таким образом, время совмещений
Формула для расчета
АБ, ВГ (равное А'Б'), ДЕ – время последующей операции, перекрываемое временем предыдущей операции из-за параллельного их выполнения. 13.6. Пути сокращения длительности производственного цикла Основные направления сокращения длительности производственного цикла представлены на рис. 13.5.
Рис. 13.5. Направления сокращения длительности производственного цикла Контрольные вопросы и задания 1. Сформулируйте понятие производственного процесса, его основные элементы. 2. В чем заключаются принципы рациональной организации производственного процесса? 3. Дайте понятие типа производства. 4. Назовите сравнительные технико-экономические характеристики типов производства. 5. Как определить тип производства предприятия, цеха, участка? 6. Сформулируйте понятие производственной структуры. 7. Что представляет собой структура производственного цикла? 8. Перечислите возможные виды движения предметов труда в производственном процессе. Как определяется при этом длительность производственного цикла? 9. Назовите основные направления сокращения длительности производственного цикла. | |||||||||||||||||||||||||||||||||||||||||||||||||









мин.
