| Общая информация » Каталог студенческих работ » БУХГАЛТЕРСКИЙ УЧЕТ, АНАЛИЗ И АУДИТ » Аудит |
| 04.01.2026, 13:42 | |||||||||||||||||||||||||||||||||||||||||||||||||||||||||||||||||||||||||||||||||||||||||||||||||||||||||||||||||||||||||||||||||||||||||||||||||||||||||||||||||||||||||||||||||||||||||||||||||||||||||||||||||||||||||||||||||||||||||||||||||||||||||||||||||||||||||||||||||||||||||||||||||||||||||||||||||||||||||||||||||||||||||||||||||||||||||||||||||||||||||||||||||||||||||||||||||||||||||||||||||||||||||||||||||||||||||||||||||||||||||||||||||||||||||||||||||||||||||||||||||||||||||||||||||||||||||||||||||||||||||||||||||||||||||||||||||||||||||||||||||||||||||||||||||||||||||||||||||||||||||||||||||||||||
Структура курсовой работы включает: – титульный лист; – задание; – оглавление; – введение; – основную часть; – заключение; – сокращения, обозначения, термины и определения (при необходимости); – список использованных источников; – приложения (при необходимости). В теоретической главе курсовой работы студент раскрывает содержание темы согласно своему варианту. Выбор варианта курсовой работы осуществляется по общим правилам с использованием следующей формулы: V = (N × K) div 100, где V – искомый номер варианта; N – общее количество вариантов; K – код варианта; div – целочисленное деление; при V = 0 выбирается максимальный вариант. Темы курсовых работ приведены в приложении В. В методических указаниях приведена рекомендуемая литература для изучения тем. Список рекомендуемой литературы не является исчерпывающим. После тщательного рассмотрения теории и написания первой главы курсовой работы студент приступает к формированию практической части. В практической части курсовой работы необходимо решить две задачи: на нахождение уровня существенности и определение доверительного интервала. Задача 1. Нахождение уровня существенности Уровень существенности – предельное значение искажения бухгалтерской отчетности, начиная с которого квалифицированный пользователь этой отчетности перестает делать правильные выводы на ее основе и принимать правильные экономические решения. Уровень существенности определяется в соответствии со стандартами аудиторской деятельности на основе рекомендованных долей от величин базовых показателей. Значения базовых показателей для каждого варианта представлены в приложении Г. Для расчета общего уровня существенности показатели берутся из бухгалтерского баланса и отчета о финансовых результатах, которые подставляются в виде таблицы. Порядок расчетов 1. В таблице 2.1 в графу 2 необходимо внести значения базовых показателей, соответствующих варианту (приложение Г). Таблица 2.1 – Данные для расчета показателя уровня существенности
2. Каждый показатель умножается на свою процентную долю (графа 3), которая закреплена нормативом, результат вычислений заносится в графу 4. 3. Расчет уровня существенности (среднее арифметическое показателей графы 4) производится по формуле 2.1: Х ср = (а1 + а2 + а3 + ... + аn ) / n (2.1) где а – расчетные показатели, тыс. руб.; n – количество показателей. 4. В случае если какие-либо значения в графе 4 значительно отклоняются от остальных, аудитор может их отбросить при дальнейших расчетах. Однородность совокупности можно оценить с помощью показателей вариации. Необходимо рассчитать размах вариации и сравнить его со средним значением. Если полученная величина не превышает 0,5, то совокупность однородна и на среднее значение можно полагаться. Размах вариации рассчитывается по формуле 2.2: R = (max- min) / X cр (2.2) Если совокупность неоднородна, отбрасывается значение со значительным отклонением и заново рассчитывается среднее арифметическое показателей по формуле 2.1, но для меньшего количества значений. 5. Полученную величину среднего арифметического можно округлить, но так, чтобы после округления ее значение изменилось не более чем на 20% в ту или другую сторону от среднего значения. Данная величина является единым показателем уровня существенности, который может использовать аудитор в своей работе. Данный порядок имеет рекомендательный характер, аудитор может разработать собственный порядок нахождения уровня существенности, т. е. изменить значения коэффициентов, менять финансовые показатели (вводить, убирать) и т. д. Расчеты согласно своему варианту следует оформить в соответствии с примером. Пример Расчет уровня существенности по данным варианта ХХ представлен в таблице 2.2. Таблица 2.2 – Данные для расчета показателя уровня существенности
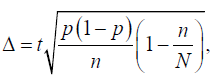
Порядок расчетов 1. В графу 2 записываем показатели, взятые из бухгалтерской отчетности экономического субъекта (вариант ХХ, приложение Г). 2. Рассчитаем значения, применимые для нахождения уровня существенности (графа 4): 1) 21289 × 5% = 1064,45 = 1064. Примечание. Округление до целого производится по правилам математики: если первая цифра после запятой 0–4, то число не изменится; если цифра 5–9, то число до запятой увеличится на единицу; 2)135968 × 2% = 2719,36 = 2719; 3) 128038 × 2% = 2560,76 = 2561; 4) 20500 × 10% = 2050; 5) 101341 × 2% = 2026,82 = 2027. 3. По формуле 2.1 рассчитаем среднее арифметическое показателей в графе 4: (1064 + 2719 + 2561 + 2050 + 2027) / 5 = 2084,2 = 2084. 4. Рассчитаем размах вариации по формуле 2.2: 1) (2719 – 1064) / 2084 = 0,79 = 79%. Полученная величина превышает 0,5, следовательно, совокупность неоднородна. Отбросим наименьшее значение 1064 при дальнейших расчетах; 2) (2719 – 2027) / 2084 = 0,33 = 33%. Полученная величина не превышает 0,5, следовательно, совокупность однородна и на среднее можно полагаться. 5. Рассчитаем новое среднее арифметическое по формуле 2.1: (2719 + 2561 + 2050 + 2027) / 4 = 2339,25 = 2339. Полученную величину допустимо округлить до 2500 руб. и использовать ее в качестве значения уровня существенности. 6. Различие между уровнем существенности до и после округления составляет: (2500 – 2339) / 2339 × 100 = 6,8 = 7%, что находится в допустимом пределе 20%. Задача 2. Определение доверительного интервала Из проверенных выборочным методом А первичных документов в Б отсутствовали обязательные реквизиты. Генеральная совокупность состоит из В документов. Определите доверительный интервал для доли неправильно оформленных документов в генеральной совокупности при вероятности, равной 95%. Показатели А, Б и В для каждого варианта представлены в приложении Д. Указания по решению Доверительный интервал для доли неправильно оформленных документов в генеральной совокупности определяется по формуле: P = p ± D, (2.3) где p – доля документов, содержащих ошибки в оформлении, в выборочной совокупности; Δ – ожидаемая ошибка. При решении данного задания необходимо рассчитать p – долю документов, содержащих ошибки в оформлении, в выборочной совокупности. Ожидаемая ошибка бесповторной выборки рассчитывается по формуле:
где n – объем выборочной совокупности; N – объем генеральной совокупности; t – коэффициент доверия. Значение коэффициента доверия t выбирается в зависимости от требуемого уровня надежности (таблица 2.3). Таблица 2.3 – Уровень надежности и коэффициент доверия
В ответе представьте доверительный интервал, посчитанный по формуле 2.3. Аналитическая глава В данной главе необходимо провести горизонтальный и вертикальный анализ бухгалтерского баланса. Исходные данные Организация выбирается согласно варианту студента. Перечень организаций представлен в приложении Е. Необходимо найти в сети Интернет отчетность выбранной организации за два идущих друг за другом года (например: 12 месяцев 2020 г. и 12 месяцев 2021 г.). Задание Провести горизонтальный и вертикальный анализ бухгалтерского баланса организации согласно варианту, сделать выводы.
ПРИЛОЖЕНИЕ В (обязательное) Темы курсовых работ 1. Организация и правовые основы работы аудиторов по проведению ревизий, аудиторских проверок. 2. Основные направления и задачи аудиторской проверки (ревизии) финансово-хозяйственной деятельности экономического субъекта. 3. Аудит как объект организации и управления (понятие, цели и организация аудиторской деятельности). 4. Правовые основы аудиторской деятельности. 5. Аудиторская проверка и экспертиза по поручению государственных органов. 6. Планирование и подготовка аудиторской проверки. 7. Оценка системы учета и внутреннего контроля клиента. 8. Рабочие и отчетные документы аудитора (фирмы) о проверке. 9. Оценка аудитором результатов аудиторской проверки. 10. Анализ и оценка влияния выявленных нарушений на результаты деятельности экономического субъекта. 11. Методика аудиторской проверки денежных средств, ценных бумаг, операций по расчетному и другим счетам в банке. 12. Методика аудиторской проверки операций с основными средствами. 13. Методика проверки использования и обеспечения сохранности товарно-материальных ценностей. 14. Аудиторская проверка соблюдения трудового законодательства и расчетов по оплате труда. 15. Аудиторская проверка правильности калькулирования и операций по формированию затрат на себестоимость товарной продукции. 16. Аудиторская проверка выполнения договорных обязательств по поставкам, операций по реализации продукции. 17. Аудиторская проверка формирования и использования финансовых результатов. 18. Документальное оформление результатов ревизии и аудиторской проверки финансово-хозяйственной деятельности экономического субъекта. 19. Внутренний аудит и внутрихозяйственный контроль хозяйствующего субъекта. 20. Аудиторская проверка внутрихозяйственного контроля. 21. Аудиторские доказательства и методы их получения. 22. Организация и методика проведения аудита на предприятии. 23. Методология выборочной проверки, применяемая аудитором. 24. Аудиторская проверка учредительных документов и видов деятельности. 25. Аудиторская проверка и оценка хозяйственных договоров аудитором. 26. Аудиторская проверка реальности бухгалтерского баланса. 27. Аудиторская проверка инвестиционной деятельности предприятия. 28. Аудит операций на расчетном и валютном счетах. 29. Организация и методика проведения комплексной аудиторской проверки. 30. Аудит операций c денежными средствами в кассе организации.
ПРИЛОЖЕНИЕ Г (обязательное) Значения базовых показателей для определения уровня существенности Вариант 1
Вариант 2
Вариант 3
Вариант 4
Вариант 5
Вариант 6
Вариант 7
Вариант 8
Вариант 9
Вариант 10
Вариант 11
Вариант 12
Вариант 13
Вариант 14
Вариант 15
Вариант 16
Вариант 17
Вариант 18
Вариант 19
Вариант 20
Вариант 21
Вариант 22
Вариант 23
Вариант 24
Вариант 25
Вариант 26
Вариант 27
Вариант 28
Вариант 29
Вариант 30
ПРИЛОЖЕНИЕ Д (обязательное) Значения показателей для определения доверительного интервала
ПРИЛОЖЕНИЕ Е (обязательное) Организации для анализа финансовых показателей
| |||||||||||||||||||||||||||||||||||||||||||||||||||||||||||||||||||||||||||||||||||||||||||||||||||||||||||||||||||||||||||||||||||||||||||||||||||||||||||||||||||||||||||||||||||||||||||||||||||||||||||||||||||||||||||||||||||||||||||||||||||||||||||||||||||||||||||||||||||||||||||||||||||||||||||||||||||||||||||||||||||||||||||||||||||||||||||||||||||||||||||||||||||||||||||||||||||||||||||||||||||||||||||||||||||||||||||||||||||||||||||||||||||||||||||||||||||||||||||||||||||||||||||||||||||||||||||||||||||||||||||||||||||||||||||||||||||||||||||||||||||||||||||||||||||||||||||||||||||||||||||||||||||||||

(2.4)