Обязательные элементы отчета:
- титульный лист (шаблон см. в приложении А);
- оглавление;
- основная часть;
- список использованных источников.
Задание на контрольную работу
Контрольная работа состоит из двух задач, примеры решения которых рассмотрены в п. 2.2.
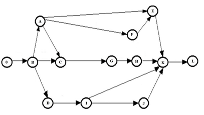
Задача 1. Расчет параметров сетевого графика
Рассчитать параметры сетевого графика. Результат расчетов оформить в виде таблицы:
|
Работа/
событие
|
Время работы (со-
бытия) Ti, дни
|
РН
|
РО
|
ПН
|
ПО
|
Резерв
|
|
0
|
|
|
|
|
|
|
|
A
|
|
|
|
|
|
|
|
…
|
|
|
|
|
|
|
|
…
|
|
|
|
|
|
|
На основании выполненных расчетов определить:
1) вершины, через которые проходит критический путь сетевого графика;
2) продолжительность проекта (критический путь);
3) резерв времени в днях по работам D и E. Исходные данные:
1. Сетевой график (см. приложение Б, рис. Б.1 или Б.2)
2. Таблица со значениями продолжительности работ в днях (приложение Б).
Вид сетевой модели проекта и значения продолжительности работ определяются в соответствии с номером варианта студента.
Задача 2. Применение методики освоенного объема для анализа проекта
Используя метод освоенного объема, рассчитать показатели на отчетные даты 3, 6 и 9 месяцев, заполнить таблицу (см. ниже) и сделать выводы о возможных тенденциях завершения проекта на каждую из статусных дат.
Таблица – Значения показателей методики освоенного объема на статусную дату
|
Наименование показателя
|
Обозначение показателя
|
Значение показателя на отчетную дату,
тыс. руб.
|
|
3 мес.
|
6 мес.
|
9 мес.
|
|
Отклонение по стоимости
|
CV
|
|
|
|
|
Отклонение по срокам
|
SV
|
|
|
|
|
Индекс выполнения
стоимости
|
CPI
|
|
|
|
|
Индекс выполнения сроков
|
SPI
|
|
|
|
|
Прогноз завершения проекта
|
FCAC
|
|
|
|
|
Отклонения по завершении
|
CVR
|
|
|
|
Исходные данные проекта:
1. Длительность: 12 месяцев с отчетностью по исполнению каждые 3 месяца.
2. Исходные данные (плановый объем по периодам отчетности, освоенный объем по периодам отчетности и фактические затраты по периодам отчетности) приведены в таблице в приложении В.
3. В качестве статусной даты, на которую производится учет исполнения, последовательно выбираются 3 месяца выполнения проекта, 6 месяцев, 9 месяцев и проект в целом.
ПРИЛОЖЕНИЕ Б
Исходные данные для задачи 1
Варианты 1–10

Таблица Б.1 – Значения продолжительности работ для вариантов 1–10
|
Номер работы
|
Продолжительность работы в днях
по вариантам
|
|
1
|
2
|
3
|
4
|
5
|
6
|
7
|
8
|
9
|
10
|
|
A
|
1
|
5
|
13
|
5
|
7
|
12
|
9
|
12
|
7
|
10
|
|
B
|
5
|
6
|
6
|
4
|
5
|
8
|
8
|
4
|
6
|
13
|
|
C
|
4
|
2
|
3
|
11
|
12
|
11
|
12
|
10
|
9
|
9
|
|
D
|
3
|
9
|
14
|
2
|
3
|
3
|
11
|
7
|
11
|
3
|
|
E
|
14
|
8
|
15
|
13
|
11
|
15
|
15
|
1
|
6
|
6
|
|
F
|
2
|
1
|
1
|
6
|
14
|
7
|
10
|
5
|
4
|
7
|
|
G
|
8
|
14
|
2
|
3
|
6
|
5
|
2
|
8
|
13
|
11
|
|
H
|
9
|
3
|
4
|
15
|
10
|
1
|
1
|
3
|
3
|
14
|
|
I
|
2
|
4
|
9
|
10
|
2
|
10
|
14
|
12
|
12
|
12
|
|
J
|
6
|
5
|
8
|
1
|
4
|
4
|
7
|
10
|
2
|
5
|
|
K
|
5
|
1
|
11
|
9
|
1
|
14
|
6
|
3
|
1
|
2
|
Варианты 11–20

Таблица Б.2 – Значения продолжительности работ для вариантов 11–20
|
Номер работы
|
Продолжительность работы в днях
по вариантам
|
|
1
|
2
|
3
|
4
|
5
|
6
|
7
|
8
|
9
|
10
|
|
A
|
1
|
5
|
13
|
5
|
7
|
12
|
9
|
12
|
7
|
10
|
|
B
|
5
|
6
|
6
|
4
|
5
|
8
|
8
|
4
|
6
|
13
|
|
C
|
4
|
2
|
3
|
11
|
12
|
11
|
12
|
10
|
9
|
9
|
|
D
|
3
|
9
|
14
|
2
|
3
|
3
|
11
|
7
|
11
|
3
|
|
E
|
14
|
8
|
15
|
13
|
11
|
15
|
15
|
1
|
6
|
6
|
|
F
|
2
|
1
|
1
|
6
|
14
|
7
|
10
|
5
|
4
|
7
|
|
G
|
8
|
14
|
2
|
3
|
6
|
5
|
2
|
8
|
13
|
11
|
|
H
|
9
|
3
|
4
|
15
|
10
|
1
|
1
|
3
|
3
|
14
|
|
I
|
2
|
4
|
9
|
10
|
2
|
10
|
14
|
12
|
12
|
12
|
|
J
|
6
|
5
|
8
|
1
|
4
|
4
|
7
|
10
|
2
|
5
|
|
K
|
5
|
1
|
11
|
9
|
1
|
14
|
6
|
3
|
1
|
2
|
|
L
|
8
|
4
|
5
|
11
|
15
|
9
|
2
|
13
|
7
|
1
|
ПРИЛОЖЕНИЕ В
Исходные данные для задачи 2
Вариант 1
|
Показатели освоенного объема
|
Отчетные периоды,
квартал
|
|
1
|
2
|
3
|
4
|
|
Плановая стоимость запланированных работ (плановый
объем), тыс. руб.
|
BCWS
|
400
|
300
|
300
|
400
|
|
Плановая стоимость выполненных работ (освоенный
объем), тыс. руб.
|
BCWP
|
600
|
100
|
200
|
500
|
|
Фактическая стоимость выполненных работ
(фактические затраты), тыс. руб.
|
ACWP
|
500
|
320
|
320
|
600
|
|
Коэффициент исполнения
|
k
|
1
|
1
|
1
|
1
|
Вариант 2
|
Показатели освоенного объема
|
Отчетные периоды,
квартал
|
|
1
|
2
|
3
|
4
|
|
Плановая стоимость запланированных работ (плановый
объем), тыс. руб.
|
BCWS
|
500
|
600
|
700
|
800
|
|
Плановая стоимость выполненных работ (освоенный
объем), тыс. руб.
|
BCWP
|
330
|
650
|
800
|
900
|
|
Фактическая стоимость выполненных работ
(фактические затраты), тыс. руб.
|
ACWP
|
500
|
900
|
800
|
1200
|
|
Коэффициент исполнения
|
k
|
1,2
|
1
|
0,8
|
1
|
Вариант 3
|
Показатели освоенного объема
|
Отчетные периоды,
квартал
|
|
1
|
2
|
3
|
4
|
|
Плановая стоимость запланированных работ (плановый
объем), тыс. руб.
|
BCWS
|
300
|
300
|
300
|
300
|
|
Плановая стоимость выполненных работ (освоенный
объем), тыс. руб.
|
BCWP
|
400
|
450
|
300
|
200
|
|
Фактическая стоимость выполненных работ
(фактические затраты), тыс. руб.
|
ACWP
|
350
|
470
|
400
|
400
|
|
Коэффициент исполнения
|
k
|
1
|
1,1
|
0,8
|
1
|
Вариант 4
|
Показатели освоенного объема
|
Отчетные периоды,
квартал
|
|
1
|
2
|
3
|
4
|
|
Плановая стоимость запланированных работ (плановый
объем), тыс. руб.
|
BCWS
|
1000
|
900
|
200
|
100
|
|
Плановая стоимость выполненных работ (освоенный
объем), тыс. руб.
|
BCWP
|
850
|
950
|
300
|
300
|
|
Фактическая стоимость выполненных работ
(фактические затраты), тыс. руб.
|
ACWP
|
700
|
800
|
300
|
200
|
|
Коэффициент исполнения
|
k
|
0,5
|
1
|
1
|
1
|
Вариант 5
|
Показатели освоенного объема
|
Отчетные периоды,
квартал
|
|
1
|
2
|
3
|
4
|
|
Плановая стоимость запланированных работ (плановый
объем), тыс. руб.
|
BCWS
|
1000
|
800
|
200
|
100
|
|
Плановая стоимость выполненных работ (освоенный
объем), тыс. руб.
|
BCWP
|
850
|
950
|
300
|
300
|
|
Фактическая стоимость выполненных работ
(фактические затраты), тыс. руб.
|
ACWP
|
600
|
650
|
750
|
200
|
|
Коэффициент исполнения
|
k
|
1
|
1
|
1
|
1
|
Вариант 6
|
Показатели освоенного объема
|
Отчетные периоды,
квартал
|
|
1
|
2
|
3
|
4
|
|
Плановая стоимость запланированных работ (плановый
объем), тыс. руб.
|
BCWS
|
540
|
500
|
560
|
500
|
|
Плановая стоимость выполненных работ (освоенный
объем), тыс. руб.
|
BCWP
|
400
|
550
|
460
|
550
|
|
Фактическая стоимость выполненных работ
(фактические затраты), тыс. руб.
|
ACWP
|
510
|
510
|
500
|
600
|
|
Коэффициент исполнения
|
k
|
1
|
1,1
|
1
|
1
|
Вариант 7
|
Показатели освоенного объема
|
Отчетные периоды,
квартал
|
|
1
|
2
|
3
|
4
|
|
Плановая стоимость запланированных работ (плановый
объем), тыс. руб.
|
BCWS
|
20
|
14
|
25
|
30
|
|
Плановая стоимость выполненных работ (освоенный
объем), тыс. руб.
|
BCWP
|
25
|
11
|
30
|
30
|
|
Фактическая стоимость выполненных работ
(фактические затраты), тыс. руб.
|
ACWP
|
40
|
20
|
50
|
30
|
|
Коэффициент исполнения
|
k
|
1
|
1
|
1
|
1
|
Вариант 8
|
Показатели освоенного объема
|
Отчетные периоды,
квартал
|
|
1
|
2
|
3
|
4
|
|
Плановая стоимость запланированных работ (плановый
объем), тыс. руб.
|
BCWS
|
1500
|
1400
|
2100
|
1500
|
|
Плановая стоимость выполненных работ (освоенный
объем), тыс. руб.
|
BCWP
|
1300
|
1500
|
1850
|
1740
|
|
Фактическая стоимость выполненных работ
(фактические затраты), тыс. руб.
|
ACWP
|
1200
|
1800
|
1850
|
1950
|
|
Коэффициент исполнения
|
k
|
1
|
1
|
1
|
1
|
Вариант 9
|
Показатели освоенного объема
|
Отчетные периоды,
квартал
|
|
1
|
2
|
3
|
4
|
|
Плановая стоимость запланированных работ (плановый
объем), тыс. руб.
|
BCWS
|
5
|
11
|
12
|
5
|
|
Плановая стоимость выполненных работ (освоенный
объем), тыс. руб.
|
BCWP
|
15
|
10
|
10
|
3
|
|
Фактическая стоимость выполненных работ
(фактические затраты), тыс. руб.
|
ACWP
|
6
|
7
|
22
|
7
|
|
Коэффициент исполнения
|
k
|
1
|
1,5
|
1
|
1
|
Вариант 10
|
Показатели освоенного объема
|
Отчетные периоды,
квартал
|
|
1
|
2
|
3
|
4
|
|
Плановая стоимость запланированных работ (плановый
объем), тыс. руб.
|
BCWS
|
100
|
40
|
15
|
1500
|
|
Плановая стоимость выполненных работ (освоенный
объем), тыс. руб.
|
BCWP
|
90
|
60
|
16
|
1740
|
|
Фактическая стоимость выполненных работ
(фактические затраты), тыс. руб.
|
ACWP
|
80
|
75
|
80
|
1950
|
|
Коэффициент исполнения
|
k
|
1,5
|
1
|
1
|
1
|
Вариант 11
|
Показатели освоенного объема
|
Отчетные периоды,
квартал
|
|
1
|
2
|
3
|
4
|
|
Плановая стоимость запланированных работ (плановый
объем), тыс. руб.
|
BCWS
|
248
|
350
|
234
|
443
|
|
Плановая стоимость выполненных работ (освоенный
объем), тыс. руб.
|
BCWP
|
230
|
380
|
240
|
310
|
|
Фактическая стоимость выполненных работ
(фактические затраты), тыс. руб.
|
ACWP
|
210
|
290
|
315
|
270
|
|
Коэффициент исполнения
|
k
|
1
|
1
|
1
|
1,5
|
Вариант 12
|
Показатели освоенного объема
|
Отчетные периоды,
квартал
|
|
1
|
2
|
3
|
4
|
|
Плановая стоимость запланированных работ (плановый
объем), тыс. руб.
|
BCWS
|
235
|
284
|
259
|
188
|
|
Плановая стоимость выполненных работ (освоенный
объем), тыс. руб.
|
BCWP
|
263
|
165
|
210
|
170
|
|
Фактическая стоимость выполненных работ
(фактические затраты), тыс. руб.
|
ACWP
|
275
|
200
|
335
|
250
|
|
Коэффициент исполнения
|
k
|
1,2
|
1
|
1,2
|
1,5
|
Вариант 13
|
Показатели освоенного объема
|
Отчетные периоды,
квартал
|
|
1
|
2
|
3
|
4
|
|
Плановая стоимость запланированных работ (плановый
объем), тыс. руб.
|
BCWS
|
153
|
220
|
235
|
134
|
|
Плановая стоимость выполненных работ (освоенный
объем), тыс. руб.
|
BCWP
|
190
|
186
|
75
|
228
|
|
Фактическая стоимость выполненных работ
(фактические затраты), тыс. руб.
|
ACWP
|
145
|
121
|
220
|
206
|
|
Коэффициент исполнения
|
k
|
1
|
1
|
1,5
|
1
|
Вариант 14
|
Показатели освоенного объема
|
Отчетные периоды,
квартал
|
|
1
|
2
|
3
|
4
|
|
Плановая стоимость запланированных работ (плановый
объем), тыс. руб.
|
BCWS
|
26
|
64
|
141
|
99
|
|
Плановая стоимость выполненных работ (освоенный
объем), тыс. руб.
|
BCWP
|
36
|
140
|
40
|
88
|
|
Фактическая стоимость выполненных работ
(фактические затраты), тыс. руб.
|
ACWP
|
25
|
150
|
60
|
20
|
|
Коэффициент исполнения
|
k
|
1
|
1
|
1
|
1
|
Вариант 15
|
Показатели освоенного объема
|
Отчетные периоды,
квартал
|
|
1
|
2
|
3
|
4
|
|
Плановая стоимость запланированных работ (плановый
объем), тыс. руб.
|
BCWS
|
109
|
110
|
240
|
111
|
|
Плановая стоимость выполненных работ (освоенный
объем), тыс. руб.
|
BCWP
|
26
|
222
|
86
|
150
|
|
Фактическая стоимость выполненных работ
(фактические затраты), тыс. руб.
|
ACWP
|
67
|
162
|
40
|
80
|
|
Коэффициент исполнения
|
k
|
1
|
1,2
|
1
|
1,5
|
Вариант 16
|
Показатели освоенного объема
|
Отчетные периоды,
квартал
|
|
1
|
2
|
3
|
4
|
|
Плановая стоимость запланированных работ (плановый
объем), тыс. руб.
|
BCWS
|
49
|
77
|
47
|
47
|
|
Плановая стоимость выполненных работ (освоенный
объем), тыс. руб.
|
BCWP
|
28
|
87
|
89
|
57
|
|
Фактическая стоимость выполненных работ
(фактические затраты), тыс. руб.
|
ACWP
|
44
|
38
|
61
|
98
|
|
Коэффициент исполнения
|
k
|
1,2
|
1
|
1
|
1,5
|
Вариант 17
|
Показатели освоенного объема
|
Отчетные периоды,
квартал
|
|
1
|
2
|
3
|
4
|
|
Плановая стоимость запланированных работ (плановый
объем), тыс. руб.
|
BCWS
|
69
|
85
|
91
|
40
|
|
Плановая стоимость выполненных работ (освоенный
объем), тыс. руб.
|
BCWP
|
74
|
85
|
86
|
85
|
|
Фактическая стоимость выполненных работ
(фактические затраты), тыс. руб.
|
ACWP
|
56
|
10
|
51
|
43
|
|
Коэффициент исполнения
|
k
|
1
|
1,5
|
1,5
|
1
|
Вариант 18
|
Показатели освоенного объема
|
Отчетные периоды,
квартал
|
|
1
|
2
|
3
|
4
|
|
Плановая стоимость запланированных работ (плановый
объем), тыс. руб.
|
BCWS
|
55
|
66
|
91
|
93
|
|
Плановая стоимость выполненных работ (освоенный
объем), тыс. руб.
|
BCWP
|
67
|
68
|
84
|
82
|
|
Фактическая стоимость выполненных работ
(фактические затраты), тыс. руб.
|
ACWP
|
77
|
24
|
28
|
37
|
|
Коэффициент исполнения
|
k
|
1,5
|
1,5
|
1,5
|
1
|
Вариант 19
|
Показатели освоенного объема
|
Отчетные периоды,
квартал
|
|
1
|
2
|
3
|
4
|
|
Плановая стоимость запланированных работ (плановый
объем), тыс. руб.
|
BCWS
|
55
|
66
|
91
|
93
|
|
Плановая стоимость выполненных работ (освоенный
объем), тыс. руб.
|
BCWP
|
67
|
68
|
84
|
82
|
|
Фактическая стоимость выполненных работ
(фактические затраты), тыс. руб.
|
ACWP
|
77
|
24
|
28
|
37
|
|
Коэффициент исполнения
|
k
|
1,5
|
1,5
|
1,5
|
1
|
Вариант 20
|
Показатели освоенного объема
|
Отчетные периоды,
квартал
|
|
1
|
2
|
3
|
4
|
|
Плановая стоимость запланированных работ (плановый
объем), тыс. руб.
|
BCWS
|
120
|
115
|
104
|
96
|
|
Плановая стоимость выполненных работ (освоенный
объем), тыс. руб.
|
BCWP
|
113
|
88
|
110
|
89
|
|
Фактическая стоимость выполненных работ
(фактические затраты), тыс. руб.
|
ACWP
|
120
|
150
|
105
|
94
|
|
Коэффициент исполнения
|
k
|
1,5
|
1,5
|
1,5
|
1
|
|