| Общая информация » Каталог студенческих работ » ЕСТЕСТВЕННЫЕ ДИСЦИПЛИНЫ » Безопасность жизнедеятельности |
| 03.01.2026, 17:12 | |||||||||||||||||||||||||||||||||||||||||||||||||||||||||||||||||||||||||||||||||||||||||||||||||||||||||||||||||||||||||||||||||||||||||||||||||||||||||||||||||||||||||||||||||||||||||||||||||
Контрольная работа содержит теоретический вопрос и 3 задачи: Задача 1. Определение профессиональной пригодности локомотивной бригады с целью снижения вероятности нарушений условий безопасности, связанных с человеческим фактором. Задача 2. Комплексное применение инженерных и технических средств для повышения безопасности движения на участке железнодорожной магистрали. Задача 3. Расчет допустимых скоростей движения подвижного состава по стрелочным переводам.
Теоретическое задание Обучающийся должен ответить на вопрос, который выбирается по номеру в академическом журнале группы: 1. Инновационные технические средства обеспечения безопасности на железнодорожном транспорте. 2. Новейшие системы безопасности и системы диагностики. 3. Безопасность в пассажирском комплексе. 4. Маневровая и горочная автоматическая локомотивная сигнализация (МАЛС/ГАЛС) со встроенными средствами спутниковой навигации. 5. Внедрение дифференциальной глобальной навигационной спутниковой системы (ДГНСС). 6. Инновационные спутниковые технологии на железнодорожном транспорте. 7. Использование спутниковых бортовых навигационно-связных терминальных комплексов ГЛОНАСС/GPS, устанавливаемых на локомотивах. 8. Программно-аппаратный комплекс диагностики ходовых частей грузовых вагонов на основе портативной инфракрасной камеры THERMOCAM «ПАУК». 9. Классификация технических средств обеспечения безопасности движения по их назначению и функциональным возможностям. 10. Бортовые технические средства обеспечения безопасности на локомотиве, их основные функции. 11. Принцип работы локомотивной сигнализации (АЛСН). 12. Общее устройство комплексного локомотивного устройства бдительности (КЛУБ) и его функциональные возможности в обеспечении безопасности движения. 13. Общее устройство САУТ и его функциональные возможности в обеспечении безопасности движения. 14. Требования к техническим средствам обеспечивающим безопасность движения высокоскоростного транспорта. 15. Принцип работы устройства контроля бдительности машиниста (УКБМ). 16. Принцип действия системы автоматического ведения пригородного электропоезда (САВПЭ-М) и его функциональные возможности. 17. Бортовые технические средства обеспечения безопасности движения на пассажирском вагоне и их классификация по назначению. 18. Принцип работы автотормоза и действие работников железнодорожного транспорта в случае их отказа. 19. Методы не разрушающего контроля деталей и узлов тележек, колесных пар, букс, автотормозного оборудования и автосцепок. 20. Классификация напольных технических средств автоматического контроля за техническим состоянием подвижного состава и их функциональные возможности безопасности движения. 21. Требования по размещению оборудования средств контроля. 22. Общее устройство и принцип действия технических средств контроля (ПОНАБ, ДИСК). 23. Системы и подсистемы дистанционно информационных средств контроля (ДИСК-Б, ДИСК-В, ДИСК-С, ДИСК-Ц, ПОНАБ-3) и действия работников железнодорожного транспорта в случае обнаружения неисправных подвижных единиц («Тревога-0», «Тревога-1», «Тревога-2»). 24. Вагон-дефектоскоп. Его назначение и роль в обеспечении безопасности движения поездов. 25. Принципы построения системы телеуправления горочным локомотивом. 26. Общее устройство и принцип действия технических средств безопасности - СИТОВ. 27. Общее устройство и принцип действия технических средств контроля – Л-116. 28. Общее устройство и принцип действия технических средств контроля – Л-132 (Дозор). 29. Аппаратура ДИСК-БКВ-Ц, устройство, принцип действия. 30. Общее устройство и основные функции вагона – дефектоскопа. 31. Общее устройство и основные функции вагона – путеизмерителя. 32. Перспективные направления развития технических средств обеспечения безопасности на железнодорожном транспорте в зарубежных странах.
ЗАДАЧА 1 Определение профессиональной пригодности локомотивной бригады с целью снижения вероятности нарушений условий безопасности, связанных с человеческим фактором Задание: 1. Осуществить профессиональный отбор локомотивной бригады с помощью комплекса специальных диагностических методик и технических средств. 2. По результатам тестов психоэмоциональной совместимости дать рекомендации по укомплектованию локомотивных бригад. Последовательность выполнения: 1. Вписать ФИО 20-ти претендентов на должность машиниста и помощника машиниста. 2. Оценить опыт работы каждого работника следующим образом (K1): · 0 лет – 0 баллов, · 1…3 – 1 балл, · 4…5 – 2 балла; · 6…7 – 3 балла; · 8…9 – 4 балла; · 10 и более – 5 баллов. Заполнить остальные колонки (значения K2 - K6 ) по исходным данным. Исходные данные принимаются по двум последним цифрам шифра (таблица 1.3). Опыт работы и значения K3, K5 принимаются по последней цифре шифра, K2, K4, K6 – по предпоследней цифре шифра. 3. По результатам этих исследований оценить профессиональную пригодность работников. Если К2 + К3 + К4 + К5 + К6 £ 7, то такой работник исключается из дальнейшего рассмотрения. 4. Внести в таблицу 1.1 весовой коэффициент Zi каждого показателя: Z1= 0,3, Z2 – Z5 = 0,4, Z6 = 0,3. 5. Определить рейтинг каждого из претендентов. 6. Составить таблицу 1.2 психоэмоциональной совместимости по 5-балльной шкале (по заданию преподавателя или в произвольной форме от 0 до 5). 0 означает полную психологическую несовместимость. 7. По результатам оценки рейтинга и психоэмоциональной совместимости дать рекомендации по укомплектованию локомотивных бригад. Предложить мероприятия, направленные на повышение уровня психической адаптации и устойчивости к стрессовым ситуациям. Таблица 1.1 – Определение профессиональной пригодности членов локомотивной бригады с помощью специальных средств диагностики
Таблица 1.2 – Показатели психоэмоциональной совместимости
Таблица 1.3 – Исходные данные
ЗАДАЧА 2 Комплексное применение инженерных и технических средств для повышения безопасности движения на участке железнодорожной магистрали Задание: 1. Изучить систему сбора и анализа нарушений движения (систему мониторинга безопасности на железнодорожном транспорте). Дать ее краткую характеристику. 2. Создать систему защиты участка железнодорожного транспорта от противоправных действий, угрожающих безопасной деятельности объектов транспортной инфраструктуры на основе формирования локальных (выделенных) зон контроля, передачи и обработки информации о состоянии объекта. 3. Выбрать технические средства видеоконтроля и наблюдения, технические средства сигнализации, средства охранного освещения, средства оповещения. Определить их количество. Оценить эффективность рассматриваемых технических средств безопасности. Последовательность выполнения 1. Выбрать участок магистрали с заданными объектами инфраструктуры железнодорожного транспорта (железнодорожный переезд и пассажирская платформа). Исходные данные приведены в таблице 2.2, 2.3. 2. Определить количество: - опорных пунктов охраны (1 ОПО на каждые 12–15 км); - ситуационных центров безопасности на участке магистрали в зависимости от количества ОПО (1 центр на 3 ОПО); - автоматизированных рабочих мест (АРМ) операторов, которое равно количеству ОПО (рисунок 2.1). 3. Обеспечить безопасность на заданном участке железнодорожной магистрали (составить схему). Показать дополнительное оборудование для обеспечения безопасности железнодорожного переезда и пассажирских платформ на заданном участке (рисунки 2.2 – 2.3).
4. Отметить технические средства видеоконтроля и наблюдения, технические средства сигнализации, средства охранного освещения, средства оповещения. Рассчитать их количество. Комплекс охраны протяженных участков однопутной электрифицированной железной дороги (ЭЖД) включает в себя базовые комплекты охраны, последовательно расположенные вдоль железнодорожного пути и создающие непрерывную зону контроля (рисунок 2.4). Каждый базовый комплект охраны состоит из датчиков обнаружения вторжения в охраняемую зону (например, радиоволновые извещатели), видеокамеры и ИК-прожекторов. Датчики обнаружения вторжения устанавливаются на одной и другой стороне охраняемой зоны железнодорожного пути, образуя непрерывный рубеж охраны железнодорожного пути. Видеокамеры и ИК-прожекторы устанавливаются на опорах контактной сети ЭЖД. Расстояние, на котором устанавливаются технические средства друг от друга представлены в таблице 2.1. Таблица 2.1 – Расстояние установки ТС в зависимости от категории, м
Видеокамера обеспечивает в автоматическом или, при необходимости, ручном режиме оперативное наблюдение участка охраняемой зоны в видимом и инфракрасном диапазоне светового излучения, ИК-прожекторы обеспечивают ИК-подсветку охраняемой зоны в темное время суток. Каждый датчик обнаружения вторжения включает средства обнаружения цели, выполненные с возможностью создания непрерывной протяженной зоны обнаружения и указания места обнаружения цели на рубеже охраны. Датчики обнаружения вторжения, видеокамера и ИК-прожекторы связаны посредством магистральных линий электропитания и связи с пультом управления комплексом охраны, осуществляющим в соответствии с заданным алгоритмом управление наведением видеокамеры на участок охраняемой зоны, в котором происходит срабатывание датчика обнаружения вторжения и включение ИК-прожекторов.
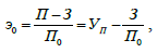
5. Оценить эффективность средств безопасности с учетом общих затрат (З), включающих стоимость создания системы безопасности и ее обслуживания в течение срока эксплуатации и общих возможных потерь от реализации угроз (Э0):
где П = По*УП – предотвращенные потери в результате использования средств безопасности; По – общие возможные потери; УП – относительный предотвращенный ущерб в результате использования системы безопасности (0 < УП < 1). Величина ущерба складывается из следующих составляющих: · стоимости, направленной на возмещение последствий события (компенсация); · стоимости похищенного или уничтоженного пожаром имущества, (ремонт объекта и т.п.); · стоимости дополнительных временных расходов (восстановление работоспособности участка, которому нанесен ущерб); · относительной стоимости, определенной убытками из-за случившегося хищения или пожара (простоя оборудования, штрафами за срыв сроков поставки и т.п.); · размера материальных затрат и рабочего времени, потраченных на расследование происшествий. Перечисленные виды стоимости образуют так называемую «группу риска». Разница между возможными ущербом и прямыми затратами составляет условную прибыль по данной системе. Величина условной прибыли определяет величину капиталовложений в оборудование объекта техническими средствами обеспечения безопасности. Анализ формулы (2.1) показывает, что система тем эффективнее (Эо>0), чем выше условный предотвращенный ею ущерб и чем ниже относительные затраты на ее создание и эксплуатацию, то есть если выполняется условие Уп > З / По. З = Со + Сэ, (2.2) где Сэ – затраты на эксплуатацию ТС в течение периода Т. Например, стоимость ТС составляет 20 % от суммы возможных потерь, то есть С0 = 0,2 По.. Срок службы ТС составляет Т = 10 лет, затраты на эксплуатацию ТС в течение периода Т составляют 5 % от стоимости ТС Сэ =0,05 Со 10 = 0,5 Со = 0,5 0,2 По = 0,1 По. Тогда общие затраты на создание системы будут равны З = Со + Сэ = 0,2 По + 0,1 По = 0,3 По. (2.3) Подставляя (2.3) в (2.1) определим эффективность системы (Э0 ≥0). Таблица 2.2 – Исходные данные
Таблица 2.3 – Срок службы, стоимость ТС и затраты на эксплуатацию в зависимости от категории
Длина участка выбирается по последней цифре учебного шифра. Категории технических средств обеспечения безопасности на участке принимаются по предпоследней цифре шифра.
ЗАДАЧА 3 Расчет допустимых скоростей движения подвижного состава по стрелочным переводам Задание: 1. Дать краткую характеристику локомотивных устройств безопасности. 2. Определить допускаемые скорости движения по стрелочным переводам. Последовательность выполнения: 1. Дать краткую характеристику основных локомотивных устройств безопасности. 2. Определить допускаемую скорость движения состава по стрелочному переводу при развозе местного груза. 2.1. Рассчитать допускаемую скорость движения подвижного состава с бокового направления. 2.2. Определить плавность хода по стрелочному переводу. Исходные данные для расчета приведены в таблице 3.1. Скорость движения подвижного состава принимается по предпоследней цифре учебного шифра, значение [W] и радиус кривой – по последней цифре шифра. Упругое смещение рельса δ1 = 24 мм, h = 0. Таблица 3.1 – Исходные данные
| |||||||||||||||||||||||||||||||||||||||||||||||||||||||||||||||||||||||||||||||||||||||||||||||||||||||||||||||||||||||||||||||||||||||||||||||||||||||||||||||||||||||||||||||||||||||||||||||||







