| Общая информация » Каталог студенческих работ » ТЕХНИЧЕСКИЕ ДИСЦИПЛИНЫ » Электротехника, электроэнергетика и электроника |
| 19.12.2025, 13:02 | |||||||||||||||||||||||||||||||||||||||||||||||||||||||||||||||||||||||||||||||||||||||||||||||||||||||||||||||||||||||||||||||||||||||||||||||||||||||||||||||||||||||||||||||||||||||||||||||||||||||||||||||||||||||||||||||||||||||||||||||||||||||||||||||||||||||||||||||||||||||||||||||||||||||||||||||||||||||||||||||||||||||||||||||||||||||||||||||||||||||||||||||||||||||||||||||||||||||||||||||||||||||||||||||||||
Номер варианта задания для студентов заочного факультета определяется по последней цифре шифра в зачетной книжке. Задача 1 К распределительному электрическому щиту постоянного тока (рис. 1) присоединены три параллельные группы электроприемников, имеющие соответственно сопротивления R1, R2, R3 (табл. 1). Ток в первой группе равен I1. Определить ток I в магистральном проводе. Какое должно быть напряжение в начале магистрали длиной L, выполненной медными или алюминиевыми проводами сечением S?
Рис. 1. Распределительный электрический щит постоянного тока с тремя параллельными группами электроприемников Таблица 1
Таблица 2 Активные сопротивления медных и алюминиевых проводов при температуре 20 °С
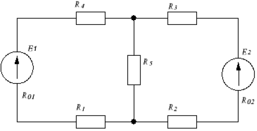
Задача 2 Для разветвленной цепи (рис. 2), пользуясь законами Кирхгофа, определить токи во всех ветвях при известных значениях R1, R2, R3, R4, R01, R02, E1, E2 (табл. 4). Таблица 3
Рис. 2. Электрическая схема цепи
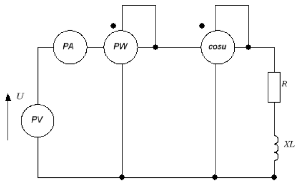
Задача 3 В цепь переменного тока частотой 50 Гц (рис. 3) включена катушка, обладающая активным сопротивлением R и индуктивным сопротивлением ХL. К цепи приложено напряжение U (табл. 6). Определить показания приборов, включенных в цепь, а также реактивную и полную мощности цепи. Построить треугольник сопротивлений и векторные диаграммы тока и напряжений. Таблица 4
Рис. 3. Электрическая схема цепи
Задача 4 В трехфазную четырехпроводную сеть с симметричным линейным напряжением Uл включены сопротивления Ra, Rb, Rc и Хa, Хb, Хc соединенные звездой (рис. 9, табл. 10). Определить фазные и линейные токи, ток в нулевом проводе, активную мощность всей цепи и каждой фазы отдельно. Построить векторную диаграмму токов и напряжений. Таблица 5
Рис. 4. Электрическая схема цепи | |||||||||||||||||||||||||||||||||||||||||||||||||||||||||||||||||||||||||||||||||||||||||||||||||||||||||||||||||||||||||||||||||||||||||||||||||||||||||||||||||||||||||||||||||||||||||||||||||||||||||||||||||||||||||||||||||||||||||||||||||||||||||||||||||||||||||||||||||||||||||||||||||||||||||||||||||||||||||||||||||||||||||||||||||||||||||||||||||||||||||||||||||||||||||||||||||||||||||||||||||||||||||||||||||||




