| Общая информация » Каталог студенческих работ » ТЕХНИЧЕСКИЕ ДИСЦИПЛИНЫ » Электротехника, электроэнергетика и электроника |
| 27.11.2025, 09:11 | |||||||||||||||||||||||||||||||||||||||||||||||||||||||||||||||||||||||||||||||||||||||||||||||||||||||||||||||||||||||||||||||||||||||||||||||||||||||||||||||||||||||||||||||||||||||||||||||||||||||||||||||||||||||||||||
ПРАКТИЧЕСКОЕ ЗАНЯТИЕ № 1.1 СИСТЕМА ЭНЕРГОСНАБЖЕНИЯ ПРОМЫШЛЕННОГО ПРЕДПРИЯТИЯ. УПРАВЛЕНИЕ СИСТЕМОЙ ЭНЕРГОСНАБЖЕНИЯ. Задания к практической работе Построить и описать структуру системы энергоснабжения (ЭС) и структуру управления энергоснабжением предприятия. Для каждого варианта содержательное описание предприятий приведены ниже. Обобщенная структура ЭС представлена на рис. 1, где сплошными линиями показаны потоки энергоносителей от источников или распределительных узлов к потребителям, а пунктирными – потоки энергоносителей от источников или распределительных узлов к местам выработки других энергоносителей. На основании примера (рис. 1) путем упрощения требуется построить структуру системы ЭС. На основании примера (рис. 2) путем упрощения требуется построить структуру управления ЭС. Вариант 1. НИИ содержит следующие объекты: административный корпус, инженерный корпус, трансформаторную подстанцию, тепловой пункт административного корпуса, тепловой пункт инженерного корпуса, аварийную дизельную электростанцию для котельной, котельную, насосную станцию, очистные сооружения для очистки технической воды в инженерном корпусе. Очищенная техническая вода также используется в котельной. Главный энергетик имеет заместителей по тепло и водоснабжению и по электрооборудованию. Аварийно-восстановительная бригада № 1 обслуживает объекты электроснабжения и подчиняется заместителю по электрооборудованию, аварийно-восстановительная бригада № 2 обслуживает остальные объекты энергоснабжения и подчиняется заместителю по теплу. Вариант 2. Тюменские тепловые сети содержат следующие объекты: насосные станции, центральные тепловые пункты, газораспределительные пункты, котельные. Главный инженер с обязанностями главного энергетика имеет заместителя по распределительным сетям, заместителя по магистральным сетям, главному инженеру подчиняется главный диспетчер, начальник по электрослужбе, начальник по эксплуатации центральных тепловых пунктов. Заместителю по распределительным сетям подчиняются начальники восточного, ленинского, центрального и калининского тепловых районов, начальник котельных. Заместителю по магистральным сетям подчиняется начальник магистральных сетей. Начальники восточного, ленинского, центрального и калининского тепловых районов руководят цехами ремонта и обслуживания распределительных сетей. Начальник котельных руководит котельными г. Тюмени. Начальник магистральных сетей руководит службой ремонта магистральных сетей и службой эксплуатации магистральных сетей. Вариант 3. Предприятие содержит следующие объекты: заводоуправление, цех, трансформаторную подстанцию, газораспределительный пункт, аварийную дизельную электростанцию для котельной, котельную, насосную станцию, очистные сооружения для очистки технической воды в цехе, компрессорную. Очищенная техническая вода используется также в котельной. Главному энергетику подчиняются отделы тепловодоснабжения, электроснабжения, метрологии. Аварийно-восстановительная бригада № 1 обслуживает объекты электроснабжения, аварийно-восстановительная бригада № 2 обслуживает остальные объекты энергоснабжения. Они подчиняются главному энергетику. Вариант 4. Предприятие содержит следующие объекты: трансформаторную подстанцию, газораспределительный пункт попутных газов, котельную, насосную станцию, очистные сооружения, выход которых подается на предприятие. В составе предприятия цеха электроремонтный и производственный. Главному энергетику подчиняются заместитель главного энергетика. Заместителю подчиняется электроремонтный цех с электротехнической лабораторией, производственный цех, в составе которого ремонтный участок энергооборудования. Вариант 5. Предприятие содержит следующие объекты: административный корпус, инженерный корпус, трансформаторную подстанцию, тепловой пункт административного корпуса, тепловой пункт инженерного корпуса, очистные сооружения технической воды в инженерном корпусе. Очищенная техническая вода используется в инженерном корпусе. Главный энергетик имеет заместителей по тепло и водоснабжению и по электрооборудованию. Аварийно-восстановительная бригада № 1 обслуживает объекты электроснабжения, аварийно-восстановительная бригада № 2 обслуживает остальные объекты энергоснабжения. Они подчиняются главному энергетику. Вариант 6. Предприятие содержит следующие объекты: административный корпус, инженерный корпус, трансформаторную подстанцию, газораспределительный пункт, аварийную дизельную электростанцию для котельной, котельную, насосную станцию, очистные сооружения, компрессорную. Очищенная техническая вода используется в инженерном корпусе и в котельной. Главному энергетику подчиняются заместитель главного энергетика. Заместителю подчиняется электроремонтный цех с электротехнической лабораторией, производственный цех, в составе которого ремонтный участок энергооборудования, отделы тепловодоснабжения, электроснабжения, метрологии. Вариант 7. Предприятие содержит следующие объекты: трансформаторную подстанцию, газораспределительный пункт попутных газов, котельную, насосную станцию, очистные сооружения, выход которых подается на предприятие. В составе предприятия цеха электроремонтный и производственный. Главному энергетику подчиняются заместитель главного энергетика. Заместителю подчиняется электроремонтный цех с электротехнической лабораторией, производственный цех, в составе которого ремонтный участок энергооборудования. Вариант 8. НИИ содержит следующие объекты: административный корпус, инженерный корпус, трансформаторную подстанцию, тепловой пункт административного корпуса, тепловой пункт инженерного корпуса, очистные сооружения технической воды в инженерном корпусе. Очищенная техническая вода используется в инженерном корпусе. Главный энергетик имеет заместителей по тепло и водоснабжению и по электрооборудованию. Аварийно-восстановительная бригада № 1 обслуживает объекты электроснабжения, аварийно-восстановительная бригада № 2 обслуживает остальные объекты энергоснабжения. Бригады подчиняются главному энергетику. Вариант 9. Предприятие содержит следующие объекты: цех, трансформаторную подстанцию, газораспределительный пункт, аварийную дизельную электростанцию для котельной, котельную, насосную станцию, очистные сооружения для очистки технической воды в цехе. Главному энергетику подчиняются отделы тепловодоснабжения, электроснабжения, метрологии. Аварийно-восстановительная бригада № 1 обслуживает объекты электроснабжения, аварийно-восстановительная бригада № 2 обслуживает остальные объекты энергоснабжения. Бригады подчиняются главному энергетику. Вариант 0. Предприятие содержит следующие объекты: трансформаторную подстанцию, газораспределительный пункт попутных газов, котельную, насосную станцию, очистные сооружения, выход которых подается на предприятие. В составе предприятия цеха электроремонтный и производственный. Главному энергетику подчиняются заместитель главного энергетика. Заместителю подчиняется электроремонтный цех с электротехнической лабораторией, производственный цех, в составе которого ремонтный участок энергооборудования.
ПРАКТИЧЕСКОЕ ЗАНЯТИЕ № 1.2 РАСЧЕТ РАСХОДА ТЕПЛОТЫ НА ПРЕДПРИЯТИИ Задания к практической работе Выполнить расчет расхода теплоты на предприятии. При расчете использовать формулы приведенные выше, с указанными единицами измерения. Например, при расчете расхода теплоты Qтех на технологические нужды,
расход Qтех измеряется в Вт, qi – ГДж/т, Pi – т/час. Отклонения от системы СИ учитываются коэффициентами 278 и 1000. Вариант 1. Определить суммарный расчетный расход теплоты на технологические нужды, отопление, вентиляцию и горячее водоснабжение мясокомбината производительностью Pi = 5,25 т/час, если удельный расход теплоты на выработку мяса qi = 1,5 ГДж/т, объем отапливаемых зданий по наружному обмеру Vн = 55 . 103 м3, объем вентилируемых зданий 80 % от объема отапливаемых, удельная отопительная характеристика здания q0 = 0,2 Вт/(м3.K), удельная вентиляционная характеристика здания qв = 0,3 Вт/(м3.K), расход горячей воды на технологические и хозяйственно-бытовые нужды Gв = 6 кг/сек, средняя температура горячей воды tгв = 50 °С, температура холодной воды tхв = 10 °С, средняя температура воздуха внутри помещения tвн = 20 °С, расчетная наружная температура воздуха tнар = -25 °С, коэффициент полезного использования теплоты в водоподогревателях ηв = 0,96. Вариант 2. Определить суммарный расчетный расход теплоты на технологические нужды, отопление, вентиляцию и горячее водоснабжение мясокомбината производительностью Pi = 6,5 т/час, если удельный расход теплоты на выработку мяса qi = 1,15 ГДж/т, объем отапливаемых зданий по наружному обмеру Vн = 60 . 103 м3, объем вентилируемых зданий 80 % от объема отапливаемых, удельная отопительная характеристика здания q0 = 0,2 Вт/(м3.K), удельная вентиляционная характеристика здания qв = 0,3 Вт/(м3.K), расход горячей воды на технологические и хозяйственно-бытовые нужды Gв = 6 кг/сек, средняя температура горячей воды tгв = 55 °С, температура холодной воды tхв = 15 °С, средняя температура воздуха внутри помещения tвн = 18 °С, расчетная наружная температура воздуха tнар = -25 °С, коэффициент полезного использования теплоты в водоподогревателях ηв = 0,96. Вариант 3. Определить суммарный расчетный расход теплоты на технологические нужды, отопление, вентиляцию и горячее водоснабжение мукомольного комбината производительностью Pi = 3,5 т/час, если удельный расход теплоты на выработку муки qi = 1,35 ГДж/т, объем отапливаемых зданий по наружному обмеру Vн = 40 . 103 м3, объем вентилируемых зданий 80 % от объема отапливаемых, удельная отопительная характеристика здания q0 = 0,2 Вт/(м3.K), удельная вентиляционная характеристика здания qв = 0,45 Вт/(м3.K), расход горячей воды на технологические и хозяйственно-бытовые нужды Gв = 7 кг/сек, средняя температура горячей воды tгв = 50 °С, температура холодной воды tхв = 10 °С, средняя температура воздуха внутри помещения tвн = 18 °С, расчетная наружная температура воздуха tнар = -25 °С, коэффициент полезного использования теплоты в водоподогревателях ηв = 0,96. Вариант 4. Определить суммарный расчетный расход теплоты на технологические нужды, отопление, вентиляцию и горячее водоснабжение мукомольного комбината производительностью Pi = 5,5 т/час, если удельный расход теплоты на выработку муки qi = 2,4 ГДж/т, объем отапливаемых зданий по наружному обмеру Vн = 35 . 103 м3, объем вентилируемых зданий 90 % от объема отапливаемых, удельная отопительная характеристика здания q0 = 0,3 Вт/(м3.K), удельная вентиляционная характеристика здания qв = 0,4 Вт/(м3.K), расход горячей воды на технологические и хозяйственно-бытовые нужды Gв = 8,5 кг/сек, средняя температура горячей воды tгв = 40 °С, температура холодной воды tхв = 15 °С, средняя температура воздуха внутри помещения tвн = 18 °С, расчетная наружная температура воздуха tнар = -20 °С, коэффициент полезного использования теплоты в водоподогревателях ηв = 0,93. Вариант 5. Определить суммарный расчетный расход теплоты на технологические нужды, отопление, вентиляцию и горячее водоснабжение промкомбината производительностью Pi = 4,25 т/час, если удельный расход теплоты на выработку продукции qi = 1,4 ГДж/т, объем отапливаемых зданий по наружному обмеру Vн = 30 . 103 м3, объем вентилируемых зданий 80 % от объема отапливаемых, удельная отопительная характеристика здания q0 = 0,32 Вт/(м3.K), удельная вентиляционная характеристика здания qв = 0,3 Вт/(м3.K), расход горячей воды на технологические и хозяйственно-бытовые нужды Gв = 6 кг/сек, средняя температура горячей воды tгв = 50 °С, температура холодной воды tхв = 10 °С, средняя температура воздуха внутри помещения tвн = 22 °С, расчетная наружная температура воздуха tнар = -25 °С, коэффициент полезного использования теплоты в водоподогревателях ηв = 0,94. Вариант 6. Определить суммарный расчетный расход теплоты на технологические нужды, отопление, вентиляцию и горячее водоснабжение промкомбината производительностью Pi = 4,25 т/час, если удельный расход теплоты на выработку продукции qi = 1,15 ГДж/т, объем отапливаемых зданий по наружному обмеру Vн = 55 . 103 м3, объем вентилируемых зданий 80 % от объема отапливаемых, удельная отопительная характеристика здания q0 = 0,2 Вт/(м3.K), удельная вентиляционная характеристика здания qв = 0,3 Вт/(м3.K), расход горячей воды на технологические и хозяйственно-бытовые нужды Gв = 6 кг/сек, средняя температура горячей воды tгв = 50 °С, температура холодной воды tхв = 15 °С, средняя температура воздуха внутри помещения tвн = 20 °С, расчетная наружная температура воздуха tнар = -25 °С, коэффициент полезного использования теплоты в водоподогревателях ηв = 0,97. Вариант 7. Определить суммарный расчетный расход теплоты на технологические нужды, отопление, вентиляцию и горячее водоснабжение предприятия производительностью Pi = 5,15 т/час, если удельный расход теплоты на выработку продукции qi = 3,5 ГДж/т, объем отапливаемых зданий по наружному обмеру Vн = 45 . 103 м3, объем вентилируемых зданий 85 % от объема отапливаемых, удельная отопительная характеристика здания q0 = 0,2 Вт/(м3.K), удельная вентиляционная характеристика здания qв = 0,3 Вт/(м3.K), расход горячей воды на технологические и хозяйственно-бытовые нужды Gв = 6 кг/сек, средняя температура горячей воды tгв = 60 °С, температура холодной воды tхв = 10 °С, средняя температура воздуха внутри помещения tвн = 20 °С, расчетная наружная температура воздуха tнар = -25 °С, коэффициент полезного использования теплоты в водоподогревателях ηв = 0,97. Вариант 8. Определить суммарный расчетный расход теплоты на технологические нужды, отопление, вентиляцию и горячее водоснабжение предприятия производительностью Pi = 7,5 т/час, если удельный расход теплоты на выработку продукции qi = 6,5 ГДж/т, объем отапливаемых зданий по наружному обмеру Vн = 50 . 103 м3, объем вентилируемых зданий 75 % от объема отапливаемых, удельная отопительная характеристика здания q0 = 0,2 Вт/(м3.K), удельная вентиляционная характеристика здания qв = 0,3 Вт/(м3.K), расход горячей воды на технологические и хозяйственно-бытовые нужды Gв = 5,6 кг/сек, средняя температура горячей воды tгв = 50 °С, температура холодной воды tхв = 10 °С, средняя температура воздуха внутри помещения tвн = 18 °С, расчетная наружная температура воздуха tнар = -25 °С, коэффициент полезного использования теплоты в водоподогревателях ηв = 0,96. Вариант 9. Определить суммарный расчетный расход теплоты на технологические нужды, отопление, вентиляцию и горячее водоснабжение кирпичного завода производительностью Pi = 7,5 т/час, если удельный расход теплоты на выработку кирпичей qi = 2,5 ГДж/т, объем отапливаемых зданий по наружному обмеру Vн = 60 . 103 м3, объем вентилируемых зданий 90 % от объема отапливаемых, удельная отопительная характеристика здания q0 = 0,35 Вт/(м3.K), удельная вентиляционная характеристика здания qв = 0,55 Вт/(м3.K), расход горячей воды на технологические и хозяйственно-бытовые нужды Gв = 6,5 кг/сек, средняя температура горячей воды tгв = 40 °С, температура холодной воды tхв = 15 °С, средняя температура воздуха внутри помещения tвн = 18 °С, расчетная наружная температура воздуха tнар = -35 °С, коэффициент полезного использования теплоты в водоподогревателях ηв = 0,95. Вариант 0. Определить суммарный расчетный расход теплоты на технологические нужды, отопление, вентиляцию и горячее водоснабжение кирпичного завода производительностью Pi = 5,5 т/час, если удельный расход теплоты на выработку кирпичей qi = 2,35 ГДж/т, объем отапливаемых зданий по наружному обмеру Vн = 50 . 103 м3, объем вентилируемых зданий 80 % от объема отапливаемых, удельная отопительная характеристика здания q0 = 0,2 Вт/(м3.K), удельная вентиляционная характеристика здания qв = 0,35 Вт/(м3.K), расход горячей воды на технологические и хозяйственно-бытовые нужды Gв = 6 кг/сек, средняя температура горячей воды tгв = 50 °С, температура холодной воды tхв = 15 °С, средняя температура воздуха внутри помещения tвн = 20 °С, расчетная наружная температура воздуха tнар = -25 °С, коэффициент полезного использования теплоты в водоподогревателях ηв = 0,96.
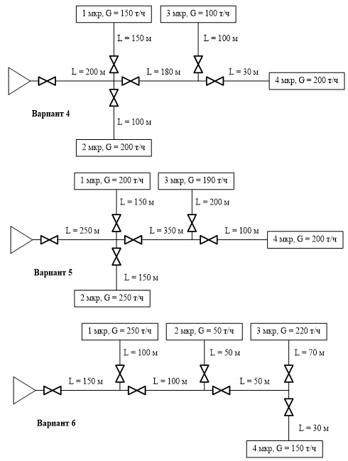
ПРАКТИЧЕСКОЕ ЗАНЯТИЕ № 2 РАСЧЕТ ТЕМПЕРАТУРНОГО РЕЖИМ ТЕПЛОСЕТИ Задания к практической работе Определить понижение температуры на всех участках тепловой сети. Теплопровод с одним слоем изоляции проложен на опорах над землей. Параметры среды и теплопровода одинаковы на всех участках. Схемы тепловых сетей, их параметры для каждого из вариантов приведены в табл. 1 и на рис 3. Таблица 1 Варианты заданий к практическому занятию № 2
В табл. 1 используются обозначения: dтпр – диаметр теплопровода без изоляции, м; tв – средняя температура теплоносителя на выходе теплового пункта; tн – средняя температура окружающей среды, °С; Δd – толщина изоляции, м; λ1 – теплопроводность единственного слоя изоляции, Вт/(м.°С); w – скорость ветра, м/сек. На рис 3. приведены схемы подключения к тепловой сети нескольких микрорайонов, где – тепловой пункт; G – массовый расход теплоносителя, т/час; L – длина участков, м.
Рис. 3. Схемы подключения микрорайонов к тепловой сети
Продолжение рис. 3. Схемы подключения микрорайонов к тепловой сети
Продолжение рис. 3. Схемы подключения микрорайонов к тепловой сети
Продолжение рис. 3. Схемы подключения микрорайонов к тепловой сети
ПРАКТИЧЕСКОЕ ЗАНЯТИЕ № 3.1 РАСЧЕТ ОТОПИТЕЛЬНЫХ ПРИБОРОВ Задания к практической работе Определить количество секций чугунного радиатора для двухтрубной системы с верхней разводкой, установленного под окном у наружной стены в жилой угловой комнате. Тип радиатора и параметры его установки приведены в табл. 4. Таблица 4 Варианты заданий к практическому занятию № 3.1
ПРАКТИЧЕСКОЕ ЗАНЯТИЕ № 3.2 РАСЧЕТ СИСТЕМЫ ПОДОГРЕВА ВОЗДУХА НА КАЛОРИФЕРАХ Задания к практической работе Рассчитать параллельную калориферную установку для нагревания воздуха в количестве L, м3/ч, с начальной температурой воздуха tн, конечной температурой воздуха tк, теплоносителем водой с начальной температурой на входе калориферов tг, конечной температурой tо на выходе калориферов. Параметры приведены в табл. 7. Таблица 7 Варианты заданий к практическому занятию № 3.2
| |||||||||||||||||||||||||||||||||||||||||||||||||||||||||||||||||||||||||||||||||||||||||||||||||||||||||||||||||||||||||||||||||||||||||||||||||||||||||||||||||||||||||||||||||||||||||||||||||||||||||||||||||||||||||||||





