| Общая информация » Каталог студенческих работ » ТЕХНИЧЕСКИЕ ДИСЦИПЛИНЫ » Электротехника, электроэнергетика и электроника |
| 19.01.2026, 14:45 | |
Занятие 1. Расчет магнитных цепей электромеханических аппаратов постоянного тока с учетом потоков рассеяния и выпучивания. Задача1. Составить схему замещения заданной конструкции электромагнита (таблица 1, вариант указывается преподавателем) с учетом потоков рассеяния и выпучивания. Задача 2. Определить проводимости и сопротивления потоков рассеяния и выпучивания. Задача 3. Провести сравнительный анализ величин сопротивлений рабочих зазоров электромагнитов и сопротивления потоков рассеяния и выпучивания. Таблица 1
Занятие 2 Расчет параметров электрических цепей электромеханических аппаратов постоянного тока Задача 1. Проанализировать функцию связи ψ = f (i) заданной конструкции аппарата (таблица 1) для случая 1 и 2 таблицы 2. Задача 2. Рассчитать индуктивность обмотки заданной конструкции аппарата (таблица 1) для случая 1 и 2 таблицы 3. Задача 3. Составить дифференциальное уравнение обмотки провести анализ переходных процессов по току для указанных случаев 1 и 2 таблицы 3. Задача 4. Провести анализ влияния учета ФР на скорость протекания переходных процессов в обмотках электрических аппаратов. Методические указания Схема замещения электрической цепи обмотки имеет вид рисунок 2
Рисунок 2 Переходные процессы в обмотке для двух рассматриваемых случаев будут иметь вид рисунок 3
Рисунок 3. Переходные процессы в обмотке На рисунке 3: Y – ток в обмотке, I – время 1 – L1 –без учёта ФР 2 – L2 -c учетом ФР L1 = L ; L2 = L + LP
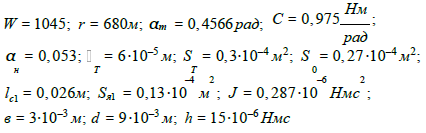
Занятие 3. Расчет статических характеристик электромеханических аппаратов постоянного тока Задача 1. Составить блок-схему расчета статических характеристик нейтральных ЭМ M эм = f (i, l) для заданной конструкции (таблица 1). Задача 2. Составить блок-схему расчета статических характеристик нейтральных ЭМ α = f (i) для заданной конструкции (таблица 1). Расчет статических характеристик ЭМ провести при следующих конструктивных параметрах:
материал статора – сталь 1211, материал якоря – пермендюр.
Занятие 4. Расчет динамических характеристик электромеханических аппаратов постоянного тока Задача 1. Составить алгоритм переходных процессов в обмотках электромагнита для заданной конструкции (таблица 1). Задача 2. Составить программу расчета переходных процессов в обмотках электромагнита для заданной конструкции (таблица 1).
Занятие 5. Анализ статических и динамических характеристик аппаратов Задача 1. Провести анализ функции связи электромагнитов постоянного тока для заданной конструкции (таблица 1). Определить соотношения линейных и нелинейных зон функции. Указать возможность определения функции связи по аналитическим зависимостям. Записать данные зависимости. Задача 2. Провести анализ статических характеристик электромагнитов постоянного тока для заданной конструкции (таблица 1). Установить причины нелинейности данных характеристик. Задача 3. Провести анализ динамических характеристик электромагнитов постоянного тока для заданной конструкции (таблица 1). Установить зависимость быстродействия электромагнита от параметров его механической и электрической подсистемы. | |






