| Общая информация » Каталог студенческих работ » ТЕХНИЧЕСКИЕ ДИСЦИПЛИНЫ » Информатика, программирование, базы данных |
| 03.01.2026, 16:20 | |
Лабораторная работа №1. "Знакомство с Си++. Выполнение программы простой структуры" Постановка задачи 1. Вычислить значение выражения при различных вещественных типах данных (float и double). Вычисления следует выполнять с использованием промежуточных переменных. Сравнить и объяснить полученные результаты. 2. Вычислить значения выражений. Объяснить полученные результаты. 3. Варианты
Методические указания 1. Для ввода и вывода данных использовать операции >> и << и стандартные потоки cin и cout. 2. Для вычисления степени можно использовать функцию pow(x,y) из библиотечного файла math.h. 3. При выполнении задания 1 надо использовать вспомогательные переменные для хранения промежуточных результатов. Например: c=pow(a,3);d=3*a*a*b;e=3*a*b*b;f=pow(b,3); Содержание отчета 1. Постановка задачи. 2. Программа решения задания1. 3. Результаты работы программы для данных типа float. 4. Результаты работы программы для данных типа double. 5. Объяснение результатов. 6. Программа решения задания2. 7. Результаты работы программы. 8. Объяснение результатов.
Лабораторная работа №2. "Использование основных операторов языка Си" Постановка задачи Используя оператор цикла, найти сумму элементов, указанных в конкретном варианте. Результат напечатать, снабдив соответствующим заголовком. Варианты
Содержание отчета 1. Постановка задачи. 2. Текст программы. 3. Результат решения конкретного варианта.
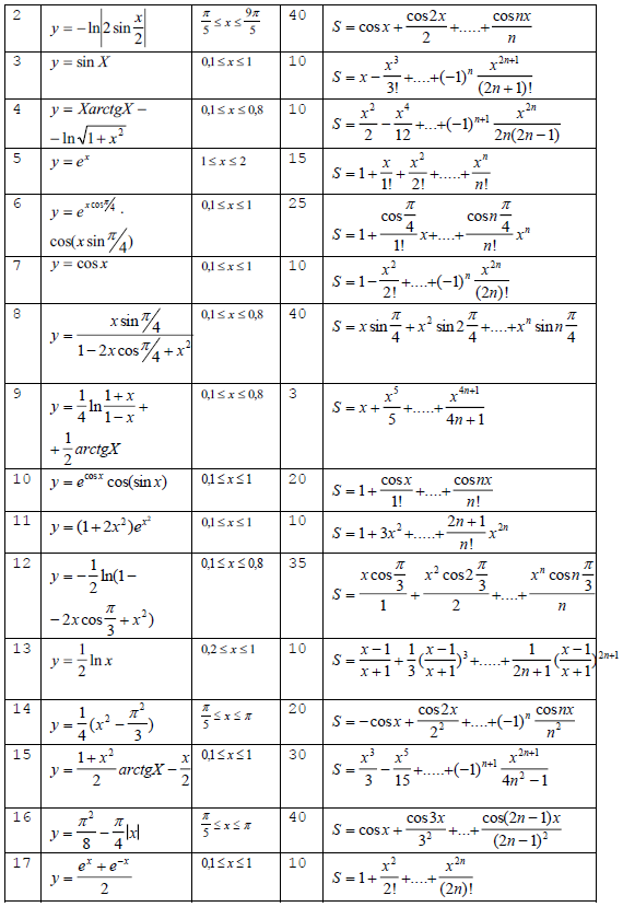
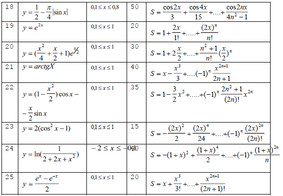
Лабораторная работа №3 "Вычисление функций с использованием их разложения в степенной ряд" Постановка задачи Для х изменяющегося от a до b с шагом (b-a)/k, где (k=10), вычислить функцию f(x), используя ее разложение в степенной ряд в двух случаях: а) для заданного n; б) для заданной точности e (e=0.0001). Для сравнения найти точное значение функции. Варианты
Методические указания 1. Алгоритм решения задачи сводится к трем циклам, причем два из них вложены в третий. Внутренние циклы суммируют слагаемые при фиксированном параметре x, один (арифметический для заданного n), другой (итерационный для заданной точности e. При организации этих циклов следует обратить внимание на правильный выбор формулы для вычисления элемента ряда an и правильное присвоение начальных значений переменным цикла. Внешний цикл организует изменение параметра х. 2. Результаты расчетов отпечатать с следующем виде: Вычисление функции X=...... SN=...... SE=..... Y=...... X=...... SN=...... SE=..... Y=...... .......... X=...... SN=...... SE=..... Y=...... Здесь X- значение параметра; SN- значение суммы для заданного n; SE- значение суммы для заданной точности; Y-точное значение функции. Содержание отчета 1. Постановка задачи. 2. Вариант задания. 3. Математическая модель (формулы, по которым выполняются вычисления слагаемых ряда). 4. Программа. 5. Полученные результаты.
Лабораторная работа № 4 "Работа с одномерными массивами" Варианты заданий 1. 1) Сформировать одномерный массив целых чисел, используя датчик случайных чисел. 2) Распечатать полученный массив. 3) Удалить элемент с номером К. 4) Добавить после каждого четного элемента массива элемент со значением 0. 5) Распечатать полученный массив. 2. 1) Сформировать одномерный массив целых чисел, используя датчик случайных чисел. 2) Распечатать полученный массив. 3) Удалить первый элемент равный 0. 4) Добавить после каждого четного элемента массива элемент со значением M[ I-1 ]+2. 5) Распечатать полученный массив. 3. 1) Сформировать одномерный массив целых чисел, используя датчик случайных чисел. 2) Распечатать полученный массив. 3) Удалить все элементы равные 0. 4) Добавить после первого четного элемента массива элемент со значением M[ I-1 ]+2. 5) Распечатать полученный массив. 4. 1) Сформировать одномерный массив целых чисел, используя датчик случайных чисел. 2) Распечатать полученный массив. 3) Удалить элементы, индексы которых кратны 3. 4) Добавить после каждого отрицательного элемента массива элемент со значением | M[ I-1 ]+1|. 5) Распечатать полученный массив. 5. 1) Сформировать одномерный массив целых чисел, используя датчик случайных чисел. 2) Распечатать полученный массив. 3) Удалить элементы кратные 7. 4) Добавить после каждого нечетного элемента массива элемент со значением 0. 5) Распечатать полученный массив. 6. 1) Сформировать одномерный массив целых чисел, используя датчик случайных чисел. 2) Распечатать полученный массив. 3) Удалить элемент с заданным номером. 4) Добавить после первого четного элемента массива элемент со значением M[ I-1 ]+2. 5) Распечатать полученный массив. 7. 1) Сформировать одномерный массив целых чисел, используя датчик случайных чисел. 2) Распечатать полученный массив. 3) Удалить последний элемент равный 0. 4) Добавить после элемента массива с заданным индексом элемент со значением 100. 5) Распечатать полученный массив. 8. 1) Сформировать одномерный массив целых чисел, используя датчик случайных чисел. 2) Распечатать полученный массив. 3) Удалить все элементы с заданным значением. 4) Добавить перед каждым четным элементом массива элемент со значением 0. 5) Распечатать полученный массив. 9. 1) Сформировать одномерный массив целых чисел, используя датчик случайных чисел. 2) Распечатать полученный массив. 3) Удалить первый элемент с заданным значением. 4) Сдвинуть массив циклически на К элементов вправо. 5) Распечатать полученный массив. 10. 1) Сформировать одномерный массив целых чисел, используя датчик случайных чисел. 2) Распечатать полученный массив. 3) Удалить 5 первых элементы массива. 4) Добавить в конец массива 3 новых элемента. 5) Распечатать полученный массив. 11. 1) Сформировать одномерный массив целых чисел, используя датчик случайных чисел. 2) Распечатать полученный массив. 3) Удалить 5 последних элементов массива. 4) Добавить в начало массива 3 элемента с значением M[ I+1 ]+2. 5) Распечатать полученный массив. 12. 1) Сформировать одномерный массив целых чисел, используя датчик случайных чисел. 2) Распечатать полученный массив. 3) Поменять местами минимальный и максимальный элементы массива. 4) Удалить из массива все элементы превышающие его среднее значение более, чем на 10%. 5) Распечатать полученный массив. 13. 1) Сформировать одномерный массив целых чисел, используя датчик случайных чисел. 2) Распечатать полученный массив. 3) Удалить из массива все элементы совпадающие с его минимальным значением. 4) Добавить в начало массива 3 элемента с значением равным среднему арифметическому массива. 5) Распечатать полученный массив. 14. 1) Сформировать одномерный массив целых чисел, используя датчик случайных чисел. 2) Распечатать полученный массив. 3) Перевернуть массив и, если число элементов массива нечетное, удалить его средний элемент. 4) Добавить в начало массива 3 элемента с значением M[ I+10 ]-2. 5) Распечатать полученный массив. 15. 1) Реализовать с использованием массива двунаправленное кольцо (просмотр возможен в обе стороны, от последнего элемента можно перейти к первому). 2) Распечатать полученный массив, начиная с К-ого элемента и до К-1 ( по кольцу влево). 3) Удалить из кольца первый и последний элементы. 4) Распечатать полученный массив, начиная с К-ого элемента (и до К+1 по кольцу вправо). 16. Реализовать с использованием массива очередь (первый пришел, первый ушел), для чего организовать добавление, удаление элементов в массив и печать массива после каждой операции. 17. 1) Реализовать с использованием массива двунаправленное кольцо (просмотр возможен в обе стороны, от последнего элемента можно перейти к первому). 2) Распечатать полученный массив, начиная с К-ого элемента и до К-1 ( по кольцу влево). 3) Добавить в кольцо первый и последний элементы. 4) Распечатать полученный массив, начиная с К-ого элемента (и до К+1 по кольцу вправо). 18. 1) Реализовать с использованием массива однонаправленное кольцо (просмотр возможен слева направо, от последнего элемента можно перейти к первому). 2) Распечатать полученный массив, начиная с К-ого элемента и до К-1. 3) Добавить в кольцо первый и последний элементы. 4) Удалить из кольца четные элементы. 5) Распечатать полученный массив, начиная с К-ого элемента и до К-1. 19. 1) Реализовать с использованием массива однонаправленное кольцо (просмотр возможен справа налево, от первого элемента можно перейти к последнему). 2) Распечатать полученный массив, начиная с К-ого элемента и до К+1. 3) Добавить в кольцо первый и последний элементы. 4) Удалить из кольца нечетные элементы. 5) Распечатать полученный массив, начиная с К-ого элемента и до К+1. 20. 1) Реализовать с использованием массива двунаправленное кольцо (просмотр возможен в обе стороны, от последнего элемента можно перейти к первому). 2) Распечатать полученный массив, начиная с К-ого элемента и до К-1 ( по кольцу влево). 3) Добавить в кольцо после элементов с индексами кратными 5 элементы равные 0. 4) Распечатать полученный массив, начиная с К-ого элемента (и до К+1 по кольцу вправо). 21. 1) Реализовать с использованием массива двунаправленное кольцо (просмотр возможен в обе стороны, от последнего элемента можно перейти к первому). 2) Распечатать полученный массив, начиная с К-ого элемента и до К-1 ( по кольцу влево). 3) Добавить в кольцо первый и 3 последних элемента. 4) Распечатать полученный массив, начиная с К-ого элемента (и до К+1 по кольцу вправо). 22. Реализовать с использованием массива стек (первый пришел, последний ушел), для чего организовать добавление, удаление элементов в массив и печать массива после каждой операции. 23. 1) Реализовать с использованием массива двунаправленное кольцо (просмотр возможен в обе стороны, от последнего элемента можно перейти к первому). 2) Распечатать полученный массив, начиная с К-ого элемента и до К-1 ( по кольцу влево). 3) Удалить из кольца все элементы совпадающие с его максимальным значением. 4) Распечатать полученный массив, начиная с К-ого элемента (и до К+1 по кольцу вправо). 24. 1) Реализовать с использованием массива однонаправленное кольцо (просмотр возможен слева направо, от последнего элемента можно перейти к первому). 2) Распечатать полученный массив, начиная с К-ого элемента и до К-1. 3) Упорядочить элементы по возрастанию 4) Удалить из кольца четные элементы. 5) Распечатать полученный массив, начиная с К-ого элемента и до К-1. 25. 1) Реализовать с использованием массива однонаправленное кольцо (просмотр возможен справа налево, от первого элемента можно перейти к последнему). 2) Распечатать полученный массив, начиная с К-ого элемента и до К+1. 3) Упорядочить элементы по убыванию 4) Удалить из кольца нечетные элементы. 5) Распечатать полученный массив, начиная с К-ого элемента и до К+1. Методические указания 1) При выполнении работы используются статические массивы. Для организации статических массивов с псевдопеременными границами необходимо объявить массив достаточно большой длины, например, 100 элементов: int N=100; int a[N]; Затем пользователь вводит реальную длину массива (не больше N) и работает с массивом той длины, которую он сам указал. Остальные элементы (хотя память под них и будет выделена) не рассматриваются. 2) При уменьшении или увеличении длины массива необходимо изменять его реальную длину. Содержание отчета 1. Вариант задания. 2. Текст программы. 3. Результат решения конкретного варианта.
Лабораторная работа №5 "Функции и массивы" Постановка задачи Используя функции, решить указанную в варианте задачу. Массив должен передаваться в функцию как параметр. Варианты 1. В двумерном массиве записаны слова, представляющие собой последовательность цифр, завершающихся 0. Необходимо распечатать слова через запятую, заключив печатную строку в скобки. Длина печатной строки 60 символов. Извлечение слова оформить в виде функции. Например: исходные данные 123023402303450 234450234567010 234455677670450 результат - (123,234,23,345)(23445,234567,1)(23445567767,45) 2. Написать функцию для обмена строк двумерного массива с ее помощью отсортировать массив по элементам третьего столбца. 3. Написать процедуру для суммирования матриц. С ее помощью сложить исходную матрицу и транспонированную (т. е. полученную поворотом исходной на 90 °). 4. Написать функцию для удаления строки из двумерного массива. Оставшиеся строки должны быть расположены плотно, недостающие элементы заменяются 0. С помощью разработанных функций исключить из массива строки с номерами от А до В. 5. Определить является ли матрица ортонормированной, т. е. такой, что скалярное произведение каждой пары различных строк равно 0, а скалярное произведение строки самой на себя равно 1. 6. Элемент матрицы является седловой точкой, если он является наименьшим в своей строке и наибольшим в своем столбце (или наоборот: наибольшим в своей строке и наименьшим в своем столбце).Для заданной матрицы определить все седловые точки. 7. Написать процедуру обмена столбца и строки двухмерного массива. С ее помощью поменять местами те строки и столбцы, первые элементы которых совпадают. 8. Написать функцию транспонирования квадратной матрицы (т.е. поворота исходной матрицы на 90 °). С ее помощью определить является ли заданная матрица симметрической. (Матрица называется симметрической, если транспонированная матрица равна исходной). 9. Написать функцию для вычисления суммы элементов квадратной матрицы, которые расположены ниже главной диагонали. С ее помощью найти максимальное значение такой суммы в n матрицах. 10. Написать функцию, проверяющую есть ли отрицательные элементы в указанной строке двумерного массива. Удалить из массива все строки с отрицательными элементами, удаленная строка заполняется 0 и переносится в конец массива. 11. Написать функцию, проверяющую по возрастанию или убыванию упорядочена указанная строка двумерного массива. Упорядочить по возрастанию все строки двумерного массива, которые неупорядочены по убыванию. 12. Написать функцию, для поиска максимального элемента в указанной строке двумерного массива. Сдвинуть в двумерном массиве все строки циклически вправо на количество элементов равное максимальному элементу в этой строке. 13. Определить можно ли в двумерном массиве найти такой столбец, который разбивает массив на два так, что сумма элементов в первом больше, чем сумма элементов во втором. Сам столбец в разбиваемые части не входит. 14. Вычислить произведение всех столбцов массива, у которых первый элемент больше элементов расположенных на главной и побочной диагонали. 15. Задан двумерный массив. Найти сумму элементов первого столбца без одного последнего элемента, сумму элементов второго столбца без двух последних, сумму элементов третьего столбца без трех последних и т. д. Последний столбец не обрабатывается. Среди найденных сумм найти максимальную. 16. Задан двумерный массив N x N. Разрешается произвольно переставлять элементы внутри любого столбца. Проверить, можно ли выполнив конечное количество перестановок в столбцах, расположить на побочной диагональ элементы так, чтобы он возрастали. 17. Задан двумерный массив N x M. Найти в нем подмассив 3 х 3, сумма элементов которого максимальна. N и M могут быть не кратны трем. 18. Задан двумерный массив N x N. Последовательно рассматриваются квадратные подмассивы, правый верхний элемент которых лежит на побочной диагонали. В каждом таком подмассиве находится максимальный элемент. Путем перестановок строк и столбцов (целиком) элемент надо переместить в правый верхний угол подмассива. Проверить получилась ли на побочной диагонали убывающая последовательность элементов. 19. Задана строка из N2 цифр. Установить можно ли, разбив строку на подстроки длиной N, записать их в строки двумерного массива N x N по одной цифре в одном элементе так, чтобы они в первом столбце расположились в порядке возрастания. 20. Найти минимальный из неповторяющихся элементов двумерного массива. 21. Найти максимальный из повторяющихся элементов двумерного массива. 22. В двумерном массиве найти среднее арифметическое первого столбца и количество элементов в каждом из следующих столбцов, превышающих среднее арифметическое предыдущего столбца. 23. Задан одномерный массив состоящий из N целых чисел. Сформировать на его основе двумерный массив N x N так, чтобы сумма элементов в первом столбце была равна первому элементу одномерного массива, сумма элементов во втором столбце была равна второму элементу одномерного массива и т. д. Нули не использовать. 24. Определить сколько элементов двумерного массива больше любого элемента на главной диагонали. 25. Из двумерного массива в одномерный записали сначала строки в произвольном порядке, затем столбцы в произвольном порядке. Написать программу восстанавливающую исходный двумерный массив по одномерному, если известна размерность двумерного массива и элементы в нем не повторяются. Содержание отчета 1. Постановка задачи. 2. Вариант задания 3. Текст программы. 4. Результат решения конкретного варианта.
Лабораторная работа № 6 "Строки" Постановка задачи Задана строка, состоящая из символов. Символы объединяются в слова. Слова друг от друга отделяются одним или несколькими пробелами. В конце текста ставится точка. Текст содержит не более 255 символов. Выполнить ввод строки, используя функцию Gets(s) и обработку строки в соответствии со своим вариантом. Варианты 1. Проверить является ли строка палиндромом. (Палиндром - это выражение, которое читается одинакова слева направо и справа налево). 2. Напечатать самое длинное и самое короткое слово в этой строке. 3. Напечатать все слова, которые не содержат гласных букв. 4. Напечатать все слова, которые содержат по одной цифре. 5. Напечатать все слова, которые совпадают с ее первым словом. 6. Преобразовать строку таким образом, чтобы сначала в ней были напечатаны только буквы, а потом только цифры, не меняя порядка следования символов в строке. 7. Преобразовать строку так, чтобы все буквы в ней были отсортированы по возрастанию. 8. Преобразовать строку так, чтобы все цифры в ней были отсортированы по убыванию. 9. Преобразовать строку так, чтобы все слова в ней стали идентификаторами, слова состоящие только из цифр - удалить. 10. Напечатать все слова-палиндромы, которые есть в этой строке(см 1 вариант). 11. Преобразовать строку таким образом, чтобы в ее начале были записаны слова, содержащие только цифры, потом слова, содержащие только буквы, а затем слова, которые содержат и буквы и цифры. 12. Преобразовать строку таким образом, чтобы все слова в ней были напечатаны наоборот. 13. Преобразовать строку таким образом, чтобы буквы каждого слова в ней были отсортированы по возрастанию. 14. Преобразовать строку таким образом, чтобы цифры каждого слова в ней были отсортированы по убыванию. 15. Преобразовать строку таким образом, чтобы в ней остались только слова, содержащие буквы и цифры, остальные слова удалить. 16. Определить какое слово встречается в строке чаще всего. 17. Определить какие слова встречаются в строке по одному разу. 18. Все слова строки, которые начинаются с буквы, отсортировать в алфавитном порядке. 19. Все слова строки, которые начинаются с цифры отсортировать по убыванию. 20. Удалить из строки все слова, которые не являются идентификаторами. 21. В. В. Подбельский, С. С. Фомин, «Программирование на языке СИ» стр. 507, Вариант 5. 22. В. В. Подбельский, С. С. Фомин, «Программирование на языке СИ» стр. 514, Вариант 20. 23. В. В. Подбельский, С. С. Фомин, «Программирование на языке СИ» стр. 515, Вариант 21. 24. В. В. Подбельский, С. С. Фомин, «Программирование на языке СИ» стр. 516, Вариант 23. 25. В. В. Подбельский, С. С. Фомин, «Программирование на языке СИ» стр. 518, Вариант 27. Содержание отчета 1. Постановка задачи для конкретного варианта. 2. Исходные данные. 3. Текст программы. 4. Результаты выполнения программы.
Лабораторная работа № 7 7.1. "Перегрузка функций в Си++" Постановка задачи Написать перегруженные функции и основную программу, которая их вызывает. Варианты 1. а) для сложения целых чисел; б) для сложения комплексных чисел. 2. а) для сложения вещественных чисел; б) для сложения комплексных чисел. 3. а) для умножения целых чисел; б) для умножения комплексных чисел. 4. а) для вычитания целых чисел; б) для вычитания комплексных чисел. 5. а) для умножения вещественных чисел; б) для умножения комплексных чисел. 6. а) для вычитания вещественных чисел; б) для вычитания комплексных чисел. 7. а) для деления целых чисел; б) для деления комплексных чисел. 8. а) по номеру года выдает его название по старо-японскому календарю; б) по названию месяца выдает знак Зодиака. 9. а) для сложения десятичных дробей; б) для сложения обыкновенных дробей. 10. а) для вычитания десятичных дробей; б) для вычитания обыкновенных дробей. 11. а) для умножения десятичных дробей; б) для умножения обыкновенных дробей. 12. а) для деления десятичных дробей; б) для деления обыкновенных дробей. 13. а) для преобразования десятичной дроби в обыкновенную; б) для преобразования обыкновенной дроби в десятичную. 14. а) для вычисления натурального логарифма; б) для вычисления десятичного логарифма. 15. а) целые числа возводит в степень n; б) из десятичных чисел извлекает корень степени n. 16. а) для перевода часов и минут в минуты; б)для перевода минут в часы и минуты. 17. а) для массива целых чисел находит среднее арифметическое; б) для строки находит количество букв, содержащихся в ней. 18. а) для массива целых чисел находит максимальный элемент; б) для строки находит длину самого длинного слова . 19. а) для массива целых чисел находит минимальный элемент; б) для строки находит длину самого короткого слова . 20. а) для массива целых чисел находит количество четных элементов; б) для строки находит количество слов, начинающихся на букву «а» . 21. а) для массива целых чисел находит количество отрицательных элементов; б) для строки находит количество слов, заканчивающихся и начинающихся на одну и ту же букву. 22. а) для массива целых чисел находит количество нечетных элементов; б) для строки находит количество слов в ней. 23. а) для массива начинающегося на четное число выполняет циклический сдвиг влево на количество элементов равное первому элементу массива. б) для массива начинающегося на нечетное число выполняет циклический сдвиг вправо на количество элементов равное последнему элементу массива. 24. а) для массива целых чисел удаляет все четные элементы из массива; б) для строки удаляет все четные слова. 25. а) для двумерного массива удаляет все четные строки; б) для одномерного массива удаляет все элементы, заключенные между двумя нулевыми элементами. Содержание отчета 1. Постановка задачи для конкретного варианта. 2. Исходные данные. 3. Текст программы. 4. Результаты выполнения программы.
7.2. "Функции с переменным числом параметров" Постановка задачи Решить указанную в варианте задачу, используя функции с переменным числом параметров. Варианты 1. Написать функцию sum с переменным числом параметров, которая находит сумму чисел типа int. Написать вызывающую функцию main, которая обращается к функции sum не менее трех раз с количеством параметров 3, 7, 11. 2. Написать функцию mult с переменным числом параметров, которая находит произведение чисел типа float. Написать вызывающую функцию main, которая обращается к функции mult не менее трех раз с количеством параметров 3, 7, 11. 3. Написать функцию sum с переменным числом параметров, которая находит сумму чисел типа int по формуле: S=a1*a2+a2*a3+a3*a4+. . . . . Написать вызывающую функцию main, которая обращается к функции sum не менее трех раз с количеством параметров 5, 10, 12. 4. Написать функцию sum с переменным числом параметров, которая находит сумму чисел типа int по формуле: S=a1*a2+a3*a4+a5*a6+. . . . . Написать вызывающую функцию main, которая обращается к функции sum не менее трех раз с количеством параметров 8, 10, 12. 5. Написать функцию sum с переменным числом параметров, которая находит сумму чисел типа int по формуле: S=a1*a2-a2*a3+a3*a4-. . . . . Написать вызывающую функцию main, которая обращается к функции sum не менее трех раз с количеством параметров 5, 10, 12. 6. Написать функцию min с переменным числом параметров, которая находит минимальное из чисел типа int. Написать вызывающую функцию main, которая обращается к функции min не менее трех раз с количеством параметров 5, 10, 12. 7. Написать функцию min с переменным числом параметров, которая находит минимальное из чисел типа int или из чисел типа double, тип параметров определяется с помощью первого параметра функции. Написать вызывающую функцию main, которая обращается к функции min не менее трех раз с количеством параметров 5, 10, 12. 8. Написать функцию max с переменным числом параметров, которая находит минимальное из чисел типа int. Написать вызывающую функцию main, которая обращается к функции min не менее трех раз с количеством параметров 5, 10, 12. 9. Написать функцию max с переменным числом параметров, которая находит минимальное из чисел типа int или из чисел типа double, тип параметров определяется с помощью первого параметра функции. Написать вызывающую функцию main, которая обращается к функции min не менее трех раз с количеством параметров 5, 10, 12. 10. Написать функцию kvadr с переменным числом параметров, которая определяет количество чисел, являющихся точными квадратами (2, 4, 9, 16,. . . ) типа int. Написать вызывающую функцию main, которая обращается к функции kvadr не менее трех раз с количеством параметров 3, 7, 11. 11. Написать функцию sum с переменным числом параметров, которая находит сумму заданных обыкновенных дробей. Написать вызывающую функцию main, которая обращается к функции sum не менее трех раз с количеством параметров 5, 10, 12. 12. Написать функцию с переменным числом параметров для перевода чисел из десятичной системы счисления в восьмеричную. Написать вызывающую функцию main, которая обращается к этой функции не менее трех раз с количеством параметров 3, 5, 8. 13. Написать функцию с переменным числом параметров для перевода чисел из десятичной системы счисления в троичную. Написать вызывающую функцию main, которая обращается к этой функции не менее трех раз с количеством параметров 3, 4, 7. 14. Написать функцию с переменным числом параметров для перевода чисел из двоичной системы счисления в троичную. Написать вызывающую функцию main, которая обращается к этой функции не менее трех раз с количеством параметров 3, 6, 7. 15. Написать функцию с переменным числом параметров для перевода чисел из восьмеричной системы счисления в десятичную. Написать вызывающую 16. Написать функцию days с переменным числом параметров, которая находит количество дней, прошедших между двумя датами (параметрами функции являются даты в формате «дд.мм.гг». Написать вызывающую функцию main, которая обращается к функции days не менее трех раз с количеством параметров 3, 5, 8. 17. Написать функцию prost с переменным числом параметров, которая находит все простые числа из нескольких интервалов. Интервалы задаются границами А и В. Написать вызывающую функцию main, которая обращается к функции prost не менее трех раз с количеством параметров 3, 5, 6. 18. Написать функцию nok с переменным числом параметров, которая находит наименьшее общее кратное для нескольких чисел. (НОД- наибольший общий делитель) Написать вызывающую функцию main, которая обращается к функции nok не менее трех раз с количеством параметров 3, 5, 6. 19. Написать функцию (или макроопределение), которая определяет принадлежит ли точка с координатами (х , у) окружности с заданным радиусом R. Написать функцию belong с переменным числом параметров, которая определяет сколько точек с координатами (х , у) принадлежат заданной окружности. Написать вызывающую функцию main, которая обращается к функции belong не менее трех раз с количеством параметров 3, 9, 11. 20. Написать функцию (или макроопределение), которая определяет можно ли из чисел x, y, z построить треугольник. Написать функцию triangle с переменным числом параметров, которая определяет сколько троек рядом расположенных чисел типа int могут быть длинами сторон треугольника. Написать вызывающую функцию main, которая обращается к функции triangle не менее трех раз с количеством параметров 3, 9, 11. 21. Написать функцию (или макроопределение), которая находит угол треугольника по его сторонам. Написать функцию angles c переменным числом параметров, которая находит углы n-угольника по заданным сторонам. Написать вызывающую функцию main, которая обращается к функции angle не менее трех раз с количеством параметров 3, 9, 11. 22. Написать функцию (или макроопределение), которая находит площадь треугольника по его сторонам. Написать функцию square c переменным числом параметров, которая находит площадь n-угольника по заданным сторонам. Написать вызывающую функцию main, которая обращается к функции square не менее трех раз с количеством параметров 3, 5, 8. 23. Написать функцию (или макроопределение), которая находит длину стороны по координатам его точек.. Написать функцию belong, которая определяет принадлежит ли точка М с координатами (х , у) треугольнику, заданному координатами вершин. Написать функцию c переменным числом параметров, которая определяет принадлежит ли точка М выпуклому многоугольнику, заданному координатами своих вершин. 24. Написать функцию (или макроопределение), которая находит длину стороны по координатам его точек.. Написать функцию square, которая вычисляет площадь треугольника, заданного координатами вершин. Написать функцию squaren c переменным числом параметров, которая определяет площадь выпуклого многоугольника, заданного координатами своих вершин. 25. Написать функцию (или макроопределение), которая находит длину стороны по координатам его точек.. Написать функцию square, которая вычисляет площадь треугольника, заданного координатами вершин. Написать функцию square1 c переменным числом параметров, которая определяет площадь треугольника, содержащего диагональ наибольшей длины выпуклого многоугольника, заданного координатами своих вершин. Содержание отчета 1. Постановка задачи для конкретного варианта. 2. Исходные данные. 3. Текст программы. 4. Результаты выполнения программы.
Лабораторная работа №8 "Блоковый ввод-вывод" Постановка задачи Сформировать двоичный файл из элементов, заданной в варианте структуры, распечатать его содержимое, выполнить удаление и добавление элементов в соответствии со своим вариантом, используя для поиска удаляемых или добавляемых элементов функцию. Формирование, печать, добавление и удаление элементов оформить в виде функций. Предусмотреть сообщения об ошибках при открытии файла и выполнении операций ввода/вывода. Варианты 1. Структура "Абитуриент": - фамилия, имя, отчество; - год рождения; - оценки вступительных экзаменов (3); - средний балл аттестата. Удалить элемент с указанным номером, добавить элемент после элемента с указанной фамилией. 2. Структура "Сотрудник": - фамилия, имя, отчество; - должность - год рождения; - заработная плата. Удалить элемент с указанной фамилией, добавить элемент после элемента с указанным номером. 3. Структура "Государство": - название; - столица; - численность населения; - занимаемая площадь. Удалить все элементы, у которых численность меньше заданной, добавить элемент после элемента с указанным номером. 4. Структура "Человек": - фамилия, имя, отчество; - домашний адрес; - номер телефона; - возраст. Удалить все элементы с заданным возрастом, добавить элемент после элемента с заданным номером. 5. Структура "Человек": - фамилия, имя, отчество; - год рождения; - рост; - вес. Удалить все элемент с указанным ростом и весом, добавить элемент после элемента с указанной фамилией. 6. Структура "Школьник": - фамилия, имя, отчество; - класс; - номер телефона; - оценки по предметам (математика, физика, русский язык, литература). Удалить все элементы, у которых есть 2 хотя бы по одному предмету, добавить элемент в начало файла. 7. Структура "Студент": - фамилия, имя, отчество; - домашний адрес; - группа; - рейтинг. Удалить все элементы, у которых рейтинг меньше заданного, добавить 1 элемент в конец файла. 8. Структура "Покупатель": - фамилия, имя, отчество; - домашний адрес; - номер телефона; - номер кредитной карточки. Удалить 3 элемента из начала файла, добавить 3 элемента в конец файла. 9. Структура "Пациент": - фамилия, имя, отчество; - домашний адрес; - номер медицинской карты; - номер страхового полиса. Удалить элемент с заданным номером медицинской карты, добавить 2 элемента в начало файла. 10. Структура "Информация": - носитель; - объем; - название; - автор. Удалить первый элемент с заданным объемом информации, добавить элемент перед элементом с указанным номером. 11. Структура "Видеокассета": - название фильма; - режиссер; - продолжительность; - цена. Удалить все элементы с ценой выше заданной, добавить 3 элемента в конец файла. 12. Структура "Музыкальный диск": - название; - автор; - продолжительность; - цена. Удалить первый элемент с заданной продолжительностью, добавить 2 элемента после элемента с заданным номером. 13. Структура "Спортивная команда": - название; - город; - количество игроков; - количество набранных очков. Удалить все элементы с количеством очков меньше заданного, добавить 2 элемента в начало файла. 14. Структура "Стадион": - название; - адрес; - вместимость; - виды спорта. Удалить элемент с заданным названием, добавить 2 элемента после элемента с указанным номером. 15. Структура "Автомобиль": - марка; - год выпуска; - цена; - цвет. Удалить все элементы, у которых год выпуска меньше заданного, добавить элемент в начало файла. 16. Структура "Владелец автомобиля": - фамилия, имя, отчество; - номер автомобиля; - телефон; - номер техпаспорта. Удалить элемент с заданным номером, добавить 2 элемента перед элементом с заданной фамилией. 17. Структура "Фильм": - название; - режиссер; - год выпуска; - стоимость. Удалить все элементы, у которых стоимость превышает заданную, добавить элемент в начало файла. 18. Структура "Книга": - название; - автор; - год издания; - количество страниц. Удалить 3 элемента из начала файла, добавить элемент перед элементом с указанным названием. 19. Структура "Фильм": - название; - режиссер; - страна; - приносимая прибыль. Удалить 2 элемента из конца файла, добавить элемент после элемента с указанным названием. 20. Структура "Государство": - название; - государственный язык; - денежная единица; - курс валюты относительно $. Удалить элемент с указанным названием, добавить 2 элемента в конец файла. 21. Структура "Автомобиль": - марка; - серийный номер; - регистрационный номер; - год выпуска. Удалить 3 элемента из начала файла, добавить элемент поле элемента с указанным регистрационным номером. 22. Структура "Владелец автомобиля": - фамилия, имя, отчество; - номер автомобиля; - номер техпаспорта; - отделение регистрации ГАИ. Удалить элемент с заданным номером, добавить 2 элемента перед элементом с заданной фамилией. 23. Структура "Стадион": - название; - год постройки; - количество площадок; - виды спорта. Удалить все элементы, у которых год постройки меньше заданного, добавить 2 элемента перед элементом с указанным номером. 24. Структура "Студент": - фамилия, имя, отчество; - номер телефона; - группа; - оценки по 3 основным предметам. Удалить все элементы из группы с указанным номером, у которых среднее арифметическое оценок меньше заданного, добавить элемент после элемента с заданной фамилией. 25. Структура "Студент": - фамилия, имя, отчество; - дата рождения; - домашний адрес; - рейтинг. Удалить элементы, у которых даты рождения совпадают, добавить элемент перед элементом с заданной фамилией. Методические указания 1. Для заполнения файла можно использовать функцию, формирующую одну структуру, указанного в варианте типа. Значения элементов структуры вводятся с клавиатуры. Для ввода можно использовать операцию >> и функцию gets(). 2. При вводе структур можно реализовать один из следующих механизмов: - ввод заранее выбранного количества структур (не менее 5); - ввод до появления структуры с заданным количеством признаков; - диалог с пользователем о необходимости продолжать ввод. 3. Для записи структуры в файл и чтения структуры из файла использовать функции блочного ввода/вывода fread и fwrite. 4. Для удаления/ добавления элементов в файл использовать вспомогательный файл. Содержание отчета 1. Постановка задачи. 2. Описание используемых типов данных. 3. Текст функций для: · формирования файла, · печати файла, · добавления записи в файл, · удаления записи из файла · поиска структуры для удаления. 4. Результат решения конкретного варианта.
Лабораторная работа № 9 "Строковый ввод-вывод" Постановка задачи 1. Создать текстовый файл F1 не менее, чем из 10 строк и записать в него информацию 2. Выполнить задание. Варианты 1. 1) Скопировать в файл F2 только четные строки из F1. 2) Подсчитать размер файлов F1 и F2 (в байтах). 2. 1) Скопировать в файл F2 только те строки из F1, которые начинаются с буквы «А». 2) Подсчитать количество слов в F2. 3. 1) Скопировать в файл F2 только те строки из F1, которые начинаются и заканчиваются на одну и ту же букву. 2) Подсчитать количество символов в F2. 4. 1) Скопировать из файла F1 в файл F2 строки, начиная с 4. 2) Подсчитать количество символов в последнем слове F2. 5. 1) Скопировать из файла F1 в файл F2 строки, начиная с К до К+5. 2) Подсчитать количество гласных букв в файле F2. 6. 1) Скопировать из файла F1 в файл F2 строки, начиная с N до K. 2) Подсчитать количество согласных букв в файле F2. 7. 1) Скопировать из файла F1 в файл F2 все строки, кроме тех, что начинаются на букву А. 2) Подсчитать количество символов в первом слове F2. 8. 1) Скопировать из файла F1 в файл F2 все строки, которые не содержат цифры. 2) Подсчитать количество строк, которые начинаются на букву «А» в файле F2. 9. 1) Скопировать из файла F1 в файл F2 все строки, которые содержат только одно слово. 2) Найти самое длинное слово в файле F2. 10. 1) Скопировать из файла F1 в файл F2 все строки, которые не содержат слова , начинающиеся на одну букву. 2) Найти самое короткое слово в файле F2. 11. 1) Скопировать из файла F1 в файл F2 все строки, кроме той строки, которая содержит самое короткое слово. 2) Напечатать номер этой строки. 12. 1) Скопировать из файла F1 в файл F2 все строки, кроме той строки, в которой больше всего гласных букв. 2) Напечатать номер этой строки. 13. 1) Скопировать из файла F1 в файл F2 все строки, начинающиеся на букву «А» и расположенные между строками с номерами N1 и N2. 2) Определить номер той строки, в которой больше всего согласных букв, файла F2. 14. 1) Скопировать из файла F1 в файл F2 все строки, не содержащие букву «А» и расположенные между строками с номерами N1 и N2. 2) Определить номер той строки, в которой больше всего гласных букв, файла F2. 15. 1) Скопировать из файла F1 в файл F2 все строки, заканчивающиеся на букву «А» и расположенные между строками с номерами N1 и N2. 2) Определить номер той строки, в которой больше всего букв «А», файла F2. 16. 1) Скопировать из файла F1 в файл F2 все строки, начинающиеся на букву «А» и Заканчивающиеся на букву «С», расположенные между строками с номерами N1 и N2. 2) Определить количество слов в первой строке файла F2. 17. 1) Скопировать из файла F1 в файл F2 все строки, начинающиеся на букву «А» расположенные между строками с номерами N1 и N2, а затем все строки от N2+3 и до последней. 2) Определить количество слов в последней строке файла F2. 18. 1) Скопировать из файла F1 в файл F2 все строки, в которых нет одинаковых слов. 2) Определить количество гласных букв в первой строке файла F2. 19. 1) Скопировать из файла F1 в файл F2 все строки, в которых нет слов, совпадающих с первым словом. 2) Определить количество согласных букв в первой строке файла F2. 20. 1) Скопировать из файла F1 в файл F2 все строки, в которых есть одинаковые слова. 2) Определить количество гласных букв в последней строке файла F2. 21. 1) Скопировать из файла F1 в файл F2 все строки, в которых есть слова, совпадающие с первым словом. 2) Определить количество согласных букв в последней строке файла F2. 22. 1) Скопировать из файла F1 в файл F2 все строки, в которых более 2 слов. 2) Определить номер слова, в котором больше всего гласных букв. 23. 1) Скопировать из файла F1 в файл F2 все строки, в которых содержится только одно слово. 2) Определить номер слова, в котором больше всего согласных букв. 24. 1) Скопировать из файла F1 в файл F2 все строки, в которых содержится два одинаковых слова. 2) Определить номер слова, в котором больше всего букв «А». 25. 1) Скопировать из файла F1 в файл F2 все строки, в которых содержится не менее двух одинаковых слов. 2) Определить номер слова, в котором больше всего цифр. Содержание отчета 1. Постановка задачи. 2. Описание используемых типов данных. 3. Текст функций для: · формирования файла, · печати файла, · копирования файлов, · выполнения задания. 4. Результат решения конкретного варианта.
Лабораторная работа № 10 "Динамические массивы" Постановка задачи Написать программу, в которой создаются динамические массивы и выполнить их обработку в соответствии со своим вариантом. Порядок выполнения работы 1. Ввести размер массива; 2. Сформировать массив с помощью операции new или библиотечных функций malloc (calloc); 3. Заполнить массив (можно с помощью датчика случайных чисел); 4. Выполнить задание варианта, сформировать новый массив(ы)-результат(ы); 5. Напечатать массив(ы)-результат(ы); 6. Удалить динамические массивы с помощью операции delete или библиотечной функции free. Варианты заданий 1. Сформировать одномерный массив Удалить из него элемент с заданным номером, добавить элемент с заданным номером; 2. Сформировать одномерный массив. Удалить из него элемент с заданным ключом, добавить элемент с заданным ключом; 3. Сформировать одномерный массив. Удалить из него К элементов, начиная с заданного номера, добавить элемент с заданным ключом; 4. Сформировать одномерный массив. Удалить из него элемент с заданным номером, добавить К элементов, начиная с заданного номера; 5. Сформировать одномерный массив. Удалить из него К элементов, начиная с заданного номера, добавить К элементов, начиная с заданного номера; 6. Сформировать двумерный массив. Удалить из него строку с заданным номером; 7. Сформировать двумерный массив. Удалить из него столбец с заданным номером; 8. Сформировать двумерный массив. Добавить в него строку с заданным номером; 9. Сформировать двумерный массив. Добавить в него столбец с заданным номером; 10. Сформировать двумерный массив. Удалить из него строку и столбец с заданным номером. 11. Сформировать двумерный массив. Добавить в него строку и столбец с заданным номером. 12. Сформировать двумерный массив. Удалить из него все строки, в которых встречается заданное число. 13. Сформировать двумерный массив. Удалить из него все столбцы, в которых встречается заданное число. 14. Сформировать двумерный массив. Удалить из него строку и столбец, на пересечении которых находится минимальный элемент. 15. Сформировать двумерный массив. Удалить из него строку и столбец, на пересечении которых находится максимальный элемент. 16. Сформировать массив строк. Удалить из него самую короткую строку. 17. Сформировать массив строк. Удалить из него самую длинную строку. 18. Сформировать массив строк. Удалить из него строку, начинающуюся на букву "а". 19. Сформировать массив строк. Удалить из него строку, начинающуюся и заканчивающуюся на букву "а". 20. Сформировать массив строк. Удалить из него строку, начинающуюся и заканчивающуюся на одну и ту же букву. 21. Сформировать массив строк. Удалить из него строку с заданным номером. 22. Сформировать массив строк. Удалить из него К строк, начиная со строки с заданным номером. 23. Сформировать массив строк. Удалить из него одинаковые строки. Сформировать массив строк. Удалить из него К последних строк. 24. Сформировать массив строк. Удалить из него К первых строк. 25. Сформировать массив строк. Добавить в него строку с заданным номером. Содержание отчета 1. Постановка задачи. 2. Функции для формирования массива, печати массива, преобразования массива, удаления массива. 3. Результаты выполнения работы.
Лабораторная работа № 11 "Информационные динамические структуры" Постановка задачи Написать программу, в которой создаются динамические структуры и выполнить их обработку в соответствии со своим вариантом. Для каждого вариант разработать следующие функции: 1. Создание списка. 2. Добавление элемента в список (в соответствии со своим вариантом). 3. Удаление элемента из списка (в соответствии со своим вариантом). 4. Печать списка. 5. Запись списка в файл. 6. Уничтожение списка. 7. Восстановление списка из файла. Порядок выполнения работы 1. Написать функцию для создания списка. Функция может создавать пустой список, а затем добавлять в него элементы. 2. Написать функцию для печати списка. Функция должна предусматривать вывод сообщения, если список пустой. 3. Написать функции для удаления и добавления элементов списка в соответствии со своим вариантом. 4. Выполнить изменения в списке и печать списка после каждого изменения. 5. Написать функцию для записи списка в файл. 6. Написать функцию для уничтожения списка. 7. Записать список в файл, уничтожить его и выполнить печать (при печати должно быть выдано сообщение "Список пустой"). 8. Написать функцию для восстановления списка из файла. 9. Восстановить список и распечатать его. 10. Уничтожить список. Варианты заданий 1. Записи в линейном списке содержат ключевое поле типа int. Сформировать однонаправленный список. Удалить из него элемент с заданным номером, добавить элемент с заданным номером; 2. Записи в линейном списке содержат ключевое поле типа int. Сформировать однонаправленный список. Удалить из него элемент с заданным ключом, добавить элемент перед элементом с заданным ключом; 3. Записи в линейном списке содержат ключевое поле типа int. Сформировать однонаправленный список. Удалить из него К элементов, начиная с заданного номера, добавить элемент перед элементом с заданным ключом; 4. Записи в линейном списке содержат ключевое поле типа int. Сформировать однонаправленный список. Удалить из него элемент с заданным номером, добавить К элементов, начиная с заданного номера; 5. Записи в линейном списке содержат ключевое поле типа int. Сформировать однонаправленный список. Удалить из него К элементов, начиная с заданного номера, добавить К элементов, начиная с заданного номера; 6. Записи в линейном списке содержат ключевое поле типа int. Сформировать двунаправленный список. Удалить из него элемент с заданным номером, добавить элемент в начало списка. 7. Сформировать двунаправленный список. Удалить из него первый элемент, добавить элемент в конец списка. 8. Записи в линейном списке содержат ключевое поле типа int. Сформировать двунаправленный список. Удалить из него элемент после элемента с заданным номером, добавить К элементов в начало списка. 9. Записи в линейном списке содержат ключевое поле типа int. Сформировать двунаправленный список. Удалить из него К элементов перед элементом с заданным номером, добавить К элементов в конец списка. 10. Записи в линейном списке содержат ключевое поле типа int. Сформировать двунаправленный список. Добавить в него элемент с заданным номером, удалить К элементов из конца списка. 11. Записи в линейном списке содержат ключевое поле типа *char(строка символов). Сформировать двунаправленный список. Удалить из него элемент с заданным ключом, добавить элемент с указанным номером. 12. Записи в линейном списке содержат ключевое поле типа *char(строка символов). Сформировать двунаправленный список. Удалить из него Элементы, с одинаковыми ключевыми полями. Добавить элемент после элемента с заданным ключевым полем. 13. Записи в линейном списке содержат ключевое поле типа *char(строка символов). Сформировать двунаправленный список. Удалить из него К первых элементов. Добавить элемент после элемента, начинающегося с указанного символа. 14. Записи в линейном списке содержат ключевое поле типа *char(строка символов). Сформировать двунаправленный список. Удалить из него К элементов с указанными номерами. Добавить К элементов с указанными номерами. 15. Записи в линейном списке содержат ключевое поле типа *char(строка символов). Сформировать двунаправленный список. Удалить К элементов из конца списка. Добавить элемент после элемента с заданным ключом. 16. Записи в линейном списке содержат ключевое поле типа *char(строка символов). Сформировать двунаправленный список. Удалить элемент с заданным ключом. Добавить К элементов в конец списка. 17. Записи в линейном списке содержат ключевое поле типа *char(строка символов). Сформировать двунаправленный список. Удалить элемент с заданным номером. Добавить К элементов в начало списка. 18. Записи в линейном списке содержат ключевое поле типа *char(строка символов). Сформировать двунаправленный список. Удалить элемент с заданным ключом. Добавить К элементов в начало списка. 19. Записи в линейном списке содержат ключевое поле типа *char(строка символов). Сформировать двунаправленный список. Удалить К элементов с заданными номерами. Добавить К элементов в начало списка. 20. Записи в линейном списке содержат ключевое поле типа *char(строка символов). Сформировать двунаправленный список. Удалить элемент с заданным ключом. Добавить по К элементов в начало и в конец списка. 21. Записи в линейном списке содержат ключевое поле типа *char(строка символов). Сформировать двунаправленный список. Удалить элементы перед и после элемента с заданным ключом. Добавить по К элементов в начало и в конец списка. 22. Записи в линейном списке содержат ключевое поле типа *char(строка символов). Сформировать двунаправленный список. Удалить элемент с заданным ключом. Добавить К элементов перед элементом с заданным ключом. 23. Записи в линейном списке содержат ключевое поле типа *char(строка символов). Сформировать двунаправленный список. Удалить элемент с заданным ключом. Добавить К элементов после элемента с заданным ключом. 24. Записи в линейном списке содержат ключевое поле типа *char(строка символов). Сформировать двунаправленный список. Удалить элемент с заданным номером. Добавить по К элементов перед и после элемента с заданным ключом. 25. Записи в линейном списке содержат ключевое поле типа *char(строка символов). Сформировать двунаправленный список. Удалить элемент с заданным ключом. Добавить К элементов перед элементом с заданным номером. Содержание отчета 1. Постановка задачи. 2. Функции для работы со списком. 3. Функция main(). 4. Результаты выполнения работы. | |









