| Общая информация » Каталог студенческих работ » ТЕХНИЧЕСКИЕ ДИСЦИПЛИНЫ » Информатика, программирование, базы данных |
| 05.01.2026, 15:10 | |
2. ЗАДАЧИ, РЕШАЕМЫЕ В СРЕДЕ MATHCAD 2.1. Решение систем линейных алгебраических уравнений (СЛАУ) Решите следующую систему уравнений: 1) методом Гаусса, 2) методом обратной матрицы, 3) с использованием вычислительного блока Given – Find и 4) с помощью функции lsolve. Варианты задания находятся в таблице 2.1. Таблица 2.1.
2.2. Решение задач математического анализа 2.2.1. Вычисление пределов Вычислить предел функции согласно своему варианту. Варианты задания приведены в таблице 2.2. Таблица 2.2
2.2.2. Вычисление производных Найти аналитические выражения для производных первого и второго порядка заданных функций; вычислить значения производных в точке х. Варианты задания приведены в таблице 2.3. Таблица 2.3.
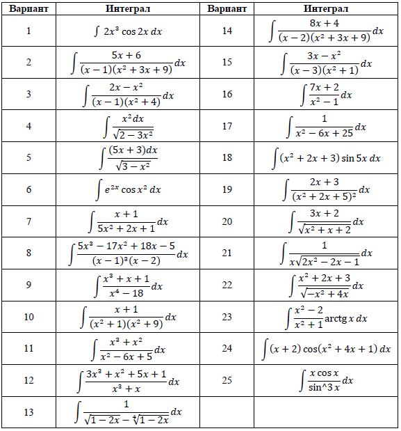
2.2.3. Вычисление интегралов функций Задание 2.2.3а. Вычислить неопределенный интеграл. Варианты задания приводятся в таблице 2.4. Таблица 2.4.
Задание 2.2.3б. Вычислить определенные интегралы аналитически и численно. Варианты приведены в таблице 2.5. Таблица 2.5.
2.3. Построение двумерных графиков Необходимо построить на одном чертеже графики функций. При выполнении задания 2 учитывается: что функции, графики которых нужно построить, задаются функциями пользователя; предварительно диапазон изменения аргумента можно не задавать, система по умолчанию задает свой диапазон; если диапазоны изменений аргумента и функций не совсем удачно подходят для отображения графиков, то можно вручную их изменить; для лучшей наглядности нужно отформатировать график. Уравнения кривых приведены в таблице 2.6. Таблица 2.6.
2.4. Расчеты, выполняемые с константами и размерными величинами Вариант 1 Никелевая проволока длиной l = 120 м и площадью поперечного сечения s = 0,5 мм включена в цепь напряжением U = 127 В. Определить силу тока в поволоке. Удельное сопротивление никеля g = 0,4 Ом·мм2/м. Вариант 2 Найти массу m стального шара, радиус которого r = 13 см. Плотность стали r = 7,8 г/см3. Расчётные формулы: 𝑚 = 𝜌𝑉, 𝑉 = 4/3𝜋𝑟3. Вариант 3 Вычислить работу, совершаемую при подъёме гранитной плиты объёмом V = 0,5 м3 на высоту h = 20 м. Плотность гранита r = 2600 кг/м3. Вариант 4 Найти массу m медного шара, диаметр которого d = 7,5 дм. Плотность меди r = 8,96 г/см3. Вариант 5 Тело брошено вертикально вверх со скоростью v = 10 м/с. Через какое время от начала движения оно пройдет высоту Н = 4 м? Вариант 6 Из аэростата, находящегося на высоте H = 300 м, выпал груз. Через какой промежуток времени t груз достигнет поверхности Земли, если аэростат поднимался со скоростью v = 5 м/c? Вариант 7 Автомобиль движется по горизонтальному участку пути со скоростью v = 72 км/ч. Водитель, заметив препятствие, начинает тормозить. Определить тормозной путь автомобиля S, если коэффициент трения μ = 0,25. Вариант 8 Грузовой автомобиль массой m = 6 т движется на подъеме со скоростью v = 5 м/с, Угол наклона к горизонту α = 100. 1) Определить коэффициент трения μ, если мощность двигателя N = 100 кВт. Вариант 9 Средняя высота спутника h над поверхностью Земли равна 2000 км. 1) Определить скорость v спутника и период обращения T, если радиус Земли R = 6400 км, масса Земли M = 6.1024 кг. Гравитационная постоянная G = 6,67.1011 Н·м2 / кг2. Вариант 10 Какую работу необходимо совершить при равномерном перемещении тела по горизонтальной поверхности на расстояние s = 8 м под действием силы тяги 1000 Н, направленной под углом в 600 к горизонту? Вариант 11 С какой скоростью должен двигаться автомобиль массой 2 т, чтобы обладать такой же кинетической энергией, как снаряд массой 10 кг, движущийся со скоростью 800 м/с? Вариант 12 Найти плотность кислорода при температуре 270С и давлении 1,6 МПа. Вариант 13 Газ при давлении 8·105 Па и температуре 120C занимает объем 855 л. Каким будет давление, если та же масса газа при температуре 320 К займет объем 800л? Вариант 14 Найти плотность углекислого газа при давлении 700 мм рт. ст. и температуре 250 К. Вариант 15 Газ занимал объем 12,32 л. Его охладили при постоянном давлении на 45 К и объем стал равен 10,52 л. Какова была первоначальная температура газа? Вариант 16 Определить температуру воды, установившуюся после смешения 39 л воды при температуре 20 0С и 21 л воды при температуре 60 0С. Вариант 17 Сколько литров воды при 20 и 1000С нужно смешать, чтобы получить 300 л воды при 400С? Вариант 18 С какой силой взаимодействуют два точечных заряда q1 = 0.66·10-7 и q2 = 1,1·10-5 Кл, расположенных на расстоянии 3,3 см? Вариант 19 Электрический утюг в течение 5 мин нагревается от сети с напряжением 220 В при токе 2 А. Какой заряд прошел через утюг, и какая при этом выделилась энергия? Вариант 20 При включении в электрическую цепь проводника диаметром 0,5 мм длиной 4,5 м разность потенциалов на его концах оказалась 1,2 В при токе в 1 А. Чему равно удельное сопротивление материала проводника? Вариант 21 Какую работу надо совершить при перемещении на 0,25 м проводника длиной 0,4 м с током 21 А в однородном магнитном поле с индукцией 1,2 Тл? Проводник движется перпендикулярно к силовым линям поля. Вариант 22 Длина волны, соответствующая красной границе фотоэффекта для натрия, составляет 530 нм. Определить работу выхода электронов из натрия. Вариант 23 Определить максимальную кинетическую энергию электронов, вылетающих из калия при освещении лучами с длиной волны 345 нм. Работа выхода электронов из калия 2,36 эВ. Вариант 24 Тело с массой покоя 1 кг движется со скоростью 2·105 км/с. Определить массу этого тела для неподвижного наблюдателя. Вариант 25 Имеются 25·106 атомов радия. Сколько останется атомов через 1 сутки, если период полураспада радия 1620 лет?
2.5. Разработка программ-функций Разработать алгоритм задачи в соответствии со своим вариантом и оформить в виде блок-схемы. Написать программу-функцию на основе разработанного алгоритма. Вариант 1 Заданы координаты трех вершин треугольника (x1, y1), (х2, y2), (x3, y3). Составить программу для вычисления площади и периметра треугольника. Вариант 2 Дана длина ребра куба. Составить программу для вычисления объема куба и площади его боковой поверхности. Вариант 3 Даны катеты прямоугольного треугольника. Составить программу для вычисления гипотенузы и площади прямоугольного треугольника. Вариант 4 Дана гипотенуза и катет прямоугольного треугольника. Составить программу для вычисления второго катета и радиуса вписанной окружности. Вариант 5 Составить программу вычисления поверхности и объёма усечённого конуса. Вариант 6 Составить программу для вычисления медиан треугольника со сторонами a, b, с. Вариант 7 Даны два числа xи y. Составить программу для вычисления полсуммы этих чисел и произведения модулей этих чисел. Вариант 8 Даны два неотрицательных числа a и b. Составить программу для вычисления среднего арифметического и среднего геометрического этих чисел. Вариант 9 Треугольник задан величинами своих углов и радиусом описанной окружности. Составить программу для вычисления сторон треугольника. Вариант 10 Составить программу вычисления объема цилиндра и конуса, которые имеют одинаковую высоту h и одинаковый радиус основания r. Вариант 11 Даны три целых числа a, b, c. Возвести в квадрат отрицательные числа и в третью степень – положительные. Вариант 12 Дано 2 числа x и y. Если произведение этих чисел больше 60, то вычислить удвоенный корень квадратный первого числа, если не больше, то вычислить сумму данных чисел. Вариант 13 Значения переменных x, y, z поменять местами так, чтобы они оказались упорядоченными по возрастанию. Вариант 14 Даны две переменные целого типа a и b. Если их значения не равны, то присвоить каждой переменной сумму этих значений, а если равны, то присвоить переменным нулевые значения. Вариант 15 Даны две переменные целого типа a и b. Если их значения не равны, то присвоить каждой переменной максимальное из этих значений, а если равны, то присвоить переменным нулевые значения. Вариант 16 Даны три переменные x, y, z. Если их значения упорядочены по убыванию, то удвоить их; в противном случае заменить значение каждой переменной на противоположное. Вариант 17 Даны три целых числа x, y, z. Найти среднее из них. Средним назовём число, которое больше наименьшего из данных чисел, но меньше наибольшего. Вариант 18 Дано 2 числа: а и b. Если произведение двух чисел больше 30, то вычислить удвоенный тангенс первого числа, в противном случае первое число разделить на 2. Вариант 19 Даны вещественные числа x, y (x ¹y). Меньшее из этих двух чисел заменить их полусуммой, а большее – их удвоенным произведением. Вариант 20 Даны три вещественных числа x, y, z. Возвести в квадрат те из них, значения которых неотрицательны. Вариант 21 Даны целые числа x и y. Если числа не равны, то заменить каждое из них одним и тем же числом, равным большему из исходных, а если равны, то заменить числа нулями. Вариант 22 Дано 2 вещественных числа x и y. Меньшее из них разделить на 2, а большее умножить на pi = 3,14. Вариант 23 Найти произведение двух наибольших из трех заданных чисел, используя при этом не более двух сравнений. Вариант 24 Составить программу, вычисляющую произведение двух наибольших из четырех заданных чисел. Вариант 25 Даны 2 числа: а и b. Если произведение двух чисел больше 100, то большее возвести в квадрат, а меньшее умножить на 2. Иначе каждое число умножить на -1. | |









