| Общая информация » Каталог студенческих работ » ТЕХНИЧЕСКИЕ ДИСЦИПЛИНЫ » Промышленное и гражданское строительство |
| 18.03.2026, 21:35 | |
Варианты для практических заданий выбираются по первой букве фамилии и имени. Практическое задание 1 Тема «Фундаменты мелкого заложения» Постановка задачи. Необходимо определить несущую способность основания прямоугольного фундамента (рисунок 1.1) с размерами b = 2,5 м, l = 2,0 м; d = 1,5 м, в основании которого залегает слой суглинка со следующими характеристиками: е = 0,85, IL = 0,5, φ = 20º; с = 13 кПа; γI' = 16,8 кН /м3, γI = 18,2 кН /м3. Нагрузки, действующие на фундамент: F'vI = 150 кН, F'hI = 80 кН, М'I = 81 кНм, класс здания – II.
Рис. 1.1. Схема расчета фундамента Исходные данные для определения несущей способности основания прямоугольного фундамента приведены в таблице 1.1, 1.2 и определяются по первой букве фамилии и имени студента. Таблица 1.1 – Варианты задания
Таблица 1.2 – Варианты задания
Алгоритм выполнения задания: 1. Привести все нагрузки к подошве фундамента. 2. Вычислить результирующий момент относительно центра тяжести подошвы. 3. Определить эксцентриситет приложения равнодействующей вертикальных расчетных нагрузок. 4. Определить коэффициент соотношения сторон фундамента. 5. Вычислить коэффициенты формы фундамента. 6. Определить значение угла δ для проверки условия. 6. Вычислить вертикальную составляющую силы предельного сопротивления основания. 7. Проверить выполнение условия расчета оснований по несущей способности на устойчивость основания фундамента.
Практическое задание 2 Тема «Проектирование котлованов» Постановка задачи. Необходимо разработать рабочие чертежи котлована здания, согласно варианту задания. Площадка строительства ничем не стеснена, грунт – суглинок. Исходные данные для разработки рабочих чертежей котлована здания приведены в таблице 2.1 и определяются по первой букве фамилии (графы 1-3) и имени (графы 4-7) студента. Таблица 2.1 – Варианты задания
Алгоритм выполнения задания: 1. Определение размеров котлована здания. 2. Построение рабочих чертежей котлована здания.
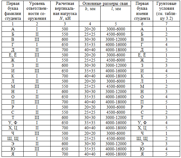
Практическое задание 3 Тема «Фундаменты глубокого заложения и свайные фундаменты» Постановка задачи. Определить несущую способность железобетонной одиночной висячей сваи квадратного сплошного сечения на действие вертикальной нагрузки в соответствии с исходными данными. Планировочная отметка минус 4450 м. Рабочая толщина ростверка принята Таблица 3.1 – Варианты задания
Таблица 3.2 – Грунтовые условия
1 слой – насыпной грунт 2 слой – суглинок твердый, просадочный 3 слой – суглинок тугопластичный 4 слой – глина полутвердая Алгоритм выполнения задания: 1. Выбор марки железобетонной забивной сваи по таблице А.1 приложения А. 2. Построение схемы размещения сваи в грунте основания. 3. Определение несущей способности боковой поверхности сваи. 4. Проверка соблюдения условия. | |






