| Общая информация » Каталог студенческих работ » ТЕХНИЧЕСКИЕ ДИСЦИПЛИНЫ » Теоретическая механика |
| 27.11.2025, 14:43 | |
Практические задания При решении задач студент руководствуется следующими данными: Г – число, соответствующее количеству букв в имени; С – число, соответствующее количеству букв в отчестве; П – число, соответствующее количеству букв в фамилии. Если П>9, то берется последняя цифра числа (т.е. если количество букв в фамилии 14, то принимаем П=4). Обратите внимание!!! 1. Для студентов, обучающихся очно с элементами дистанционного обучения (АТсдо, ТБбдо, МТМбдо, МСбдо, ЭМСбдо и др.) – обязательными для выполнения являются 12 заданий! 2. Для студентов заочной, очно-заочной форм обучения (другие группы, не попавшие в п.1) – обязательными для выполнения являются 4 задания, причем из каждого раздела («Статика», «Кинематика», «Динамика») необходимо выбрать как минимум одну задачу!
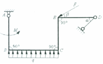
Практическое задание 1 Раздел 1. Статика Тема 1.2. Произвольная плоская система сил Жесткая рама (рис. 1) закреплена в точке А шарнирно, а в точке D прикреплена к невесомому стержню под углом α = 45 + 5*П (град). На раму действуют: пара сил с моментом M = C + 1 (кН·м); сила F = П + Г (кН), приложенная под углом β = 5 + 5*Г (град); распределенная нагрузка с интенсивностью q = Г+1 (кН/м), действующая снизу вдоль колена /ВС/. При расчетах принять длины /АВ / =1 (м), /ВС/ = 2 (м), /СЕ/ = Г + 2 (м), /ЕD/ = Г + 3 (м). Определить реакции в точках А и D.
Рис. 1 Бланк выполнения задания 1 1. Записываются данные задания 2. Рисунок, на котором показаны все реакции 3. Распределенная нагрузка заменяется сосредоточенной силой 4. Записываются уравнения равновесия 5. Решаются уравнения равновесия 6. Записывается ответ
Практическое задание 2 Тема 1.2. Произвольная плоская система сил Две балки, АВ и ВС (рис. 2), расположенные в вертикальной плоскости, скреплены шарнирами А, В и С под углом a = 5 + 4*П (град) к горизонту. Найти реакции, возникающие в шарнирах А, В и С, если на конструкцию действуют: пара сил с моментом М = С + 1 (кН·м); сосредоточенная сила F = С – П + Г (кН), приложенная перпендикулярно балке АВ в ее середине; распределенная нагрузка с интенсивностью q = Г+5 (кН/м), действующая сверху вдоль балки ВС. При расчетах принять /АВ/ = Г + 1 (м), /ВС/ = П + 1 (м). Балка АВ имеет вес P1 = C + 2 (кН). Балка ВС имеет вес Р2 = Г + П (кН).
Рис. 2 Бланк выполнения задания 2 1. Записываются данные задания 2. Рисунок, на котором показаны все реакции на левой балке 3. Рисунок, на котором показаны все реакции на правой балке 4. Распределенная нагрузка заменяется сосредоточенной силой 5. Записываются уравнения равновесия для левой балки 6. Записываются уравнения равновесия для правой балки 7. Решаются уравнения равновесия 8. Записывается ответ
Практическое задание 3 Тема 1.4. Произвольная пространственная система сил Коленчатый вал весом P = C + 3 (кН) с центром масс в точке С закреплен в подшипниках А и О. Колена вала расположены во взаимно перпендикулярных плоскостях. В серединах колен (в точках Т и W) приложены силы F1 = F2 = Г+П (кН), направленные под углами: α - к плоскости xOy, и β - к плоскости yOz. Найти реакции в опорах А и О, а также силу F3, которая параллельна плоскости xOz. Сила F3 приложена в точке Е под углом χ к плоскости yOz. При расчетах принять |OO1| =| АА2| = |DH| = |BE| = 0,2 (м); |OC| = 0,5 (м); |OA| = 1 (м); |O1L| = |LD| = |HS| = |EN| = |BK| = |KA1| = 0,05 (м); α =70 + 5*П (град); β = 120 – 5*П (град); χ = 5*Г (град).
Рис. 3 Бланк выполнения задания 3 1. Записываются данные задания 2. Рисунок, на котором показаны все реакции 3. Записываются уравнения равновесия 4. Решаются уравнения равновесия 5. Записывается ответ
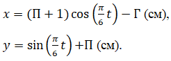
Практическое задание 4 Раздел 2. Кинематика Тема 2.1. Кинематика точки Точка М движется в плоскости хОу. Траектория движения точки задается уравнениями:
Найти уравнение траектории точки у = f(x); построить эту траекторию; для момента времени t = Г+2 (с) определить и показать на рисунке: положение точки; ее скорость; касательное, нормальное и полное ускорения. Определить радиус кривизны траектории. Бланк выполнения задания 4 1. Записываются данные задания 2. Находится уравнение траектории 3. Находятся все скорости 4. Находятся все ускорения 5. На рисунке показываются: траектория, векторы всех скоростей и ускорений 6. Записывается ответ
Практическое задание 5 Тема 2.4. Сферическое движение твердого тела Показать на рисунке и определить значения скоростей и ускорений всех обозначенных точек механизма (рис. 5), а также угловых скоростей и угловых ускорений вращающихся тел в момент времени t = П+2 (с). При расчетах принять: r2 = 0,2 (м), R2 = 0,4 (м), r3 = 0,3 (м), R3 = 0,5 (м), R4 = 0,6 (м), VА = Г·(t +1) (м/с).
Рис. 5 Бланк выполнения задания 5 1. Записываются данные задания 2. Находятся все скорости 3. Находятся все ускорения 4. На рисунке показываются векторы всех скоростей и ускорений 5. Записывается ответ
Практическое задание 6 Тема 2.5. Сложное движение точки и твердого тела Круглая пластина (рис. 6) радиуса R = 0,1*Г (м) вращается вокруг неподвижной оси О перпендикулярной рисунку по закону φ = t3 + П·t2 + Г·t + С (рад). По окружности пластины движется точка М. Закон ее относительного движения S = π (П + 1)t2. Определить абсолютную скорость и абсолютное ускорение точки в момент времени 1 с.
Рис. 6 Бланк выполнения задания 6 1. Записываются данные задания 2. Находится положение точки на траектории при 1 с. 3. Находятся все составляющие абсолютной скорости 4. На рисунке показываются все векторы скоростей 5. Находится абсолютная скорость 6. Находятся все составляющие абсолютного ускорения 7. На рисунке показываются все векторы ускорений 8. Находится абсолютное ускорение 9. Записывается ответ
Практическое задание 7 Раздел 3. Динамика Тема 3.1. Динамика материальной точки Материальная точка массой m = Г+2 (кг) движется в горизонтальной плоскости хОу под действием силы F = FХ·i + FУ·j, где FХ = (C + 3)·sin (Г·t) (Н); FУ = (2*C + 56)·cos (Г·t) (Н). Определить уравнение движения точки, если начальные условия: x0 = П + 3 (м); y0 = Г+4 (м); VХ0 = С + 1 (м / с); VУ0 = 0 (м / с). Бланк выполнения задания 7 1. Записать данные задания. 2. Отобразить рисунок, на котором показаны все силы. 3. Записать уравнения динамики материальной точки. 4. Решить уравнения динамики материальной точки. 5. Записать ответ.
Практическое задание 8 Тема 3.3. Основные теоремы динамики механической системы Круглая пластина радиуса R = 0,2·Г (м) и массой m1 = C + 9 (кг) вращается с угловой скоростью (С – 49) (с-1) вокруг вертикальной оси z, проходящей через точку О (рис. 8). На пластине имеется желоб, по которому начинает двигаться точка М массой m2 = Г (кг) по закону / АМ / = 0,1·Г·t2 (м). Найти угловую скорость пластины в момент времени 1 с.
Рис.8 Бланк выполнения задания 8 1. Записать данные задания. 2. Отобразить рисунок, на котором показаны все силы и скорости. 3. Записать уравнение теоремы об изменении кинетического момента механической системы. 4. Решить уравнение. 5. Записать ответ.
Практическое задание 9 Тема 3.3. Основные теоремы динамики механической системы Механическая система (рис. 9) состоит из груза 1, ступенчатых шкивов 2 и 3 и катка 4. Система начинает движение из состояния покоя в направлении заданной силы F1. Определить скорость груза 1 в тот момент, когда его перемещение станет равным S = 0,1·Г (м). Радиусы r2 = 0,2 (м); R2 = 0,4 (м); г3 = 0,3 (м); R3 = 0,4 (м); R4 = 0,5 (м); радиусы инерции 2-го и 3-го тела: i2 = 0,3 (м); i3 = 0,33 (м). Коэффициент трения груза 1 о плоскость f = 0,1; коэффициент трения качения колеса 4 равен 0,002 (м). Сила F1 = C + 8 (кН). Моменты M2 = C + 20 (кН·м), М3 = С + 30 (кН·м), М4 = С + 40 (кН·м). Массы тел m1 = Г (кг); m2 = 2*Г (кг); m3 = П+1 (кг); m4 = Г+П (кг). Углы α = 30 + 5*П (град); β = 80 – 5*П (град).
Рис. 9 Бланк выполнения задания 9 1. Записать данные задания. 2. Отобразить рисунок, на котором показаны все силы. 3. Записать уравнение теоремы об изменении кинетической энергии механической системы. 4. Решить уравнение. 5. Записать ответ.
Практическое задание 10 Тема 3.5. Динамика твердого тела и принцип Даламбера Вал (рис. 10), закрепленный вертикально в подпятнике А и в подшипнике В, вращается с постоянной угловой скоростью (С + 50) (c-1). С валом в одной плоскости под углами α = 45 + 5*Г (град) и β = 90 – 5*П (град) к его оси жестко соединены однородный стержень / CD / массой m1 и невесомый стержень / ЕМ /, на конце которого закреплена материальная точка М массой m2 = Г (кг). Определить реакции в точках А и В. При расчетах принять / CD / = Г (м), m1 = П+2 (кг), / ЕМ / = П+3 (м), /AС / = / CE / = / EB / = 0,5·Г (м).
Рис. 10 Бланк выполнения задания 10 1. Записать данные задания. 2. Отобразить рисунок, на котором показаны все силы. 3. Найти все ускорения. 4. Записать принцип Даламбера в проекциях на оси. 5. Решить полученные уравнения. 6. Записать ответ.
Практическое задание 11 Тема 3.6. Принцип возможных перемещений и общее уравнение динамики точки Механизм (рис. 11), расположенный в горизонтальной плоскости, находится в равновесии. Определить значение силы Р. При расчетах принять F1 = С + 6 (кН); F2 = С + П (кН); F3 = C + Г (кН); М1 = П + Г (кНм); М2 = С – П + Г (кНм); α = 45 + 5*П (град); β = 90 – 5*П (град); χ = 20 + 5*П (град); / О1A / = / AB / = / BC / = 1 (м) = / BD / =1 (м).
Рис. 11 Бланк выполнения задания 11 1. Записать данные задания. 2. Отобразить рисунок, на котором показаны все силы. 3. Найти возможные перемещения точек. 4. Записать принцип возможных перемещений. 5. Решить полученное уравнение. 6. Записать ответ.
Практическое задание 12 Тема 3.6. Принцип возможных перемещений и общее уравнение динамики точки Круглое колесо радиуса R = 0,1*Г (м) и массой m = П+5 (кг) катится по неподвижной горизонтальной оси без скольжения из состояния покоя. К центру колеса приложена постоянная горизонтальная сила F = (С + П) (Н). Коэффициент трения качения равен 0,001 (м). Определить абсолютное ускорение центра колеса. Бланк выполнения задания 12 1. Записать данные задания. 2. Отобразить рисунок, на котором показаны все силы. 3. Найти возможные перемещения точек. 4. Записать общее уравнение динамики. 5. Решить полученное уравнение. 6. Записать ответ. | |









