| Общая информация » Каталог студенческих работ » ТЕОРИЯ ВЕРОЯТНОСТЕЙ И МАТ. СТАТИСТИКА » Теория вероятностей и мат. статистика |
| 06.10.2025, 10:13 | |||||||||||||||||||||||||||||||||||||||||||||||||||||||||||||||||||||||||||||||||||||||||||||||||||||||||||||||||||||||||||||||||||||||||||||||||||||||||||||||||||||||||||||||||||||||||||||||||||||||||||||||||||||||||||||||||||||||||||||||||||||||||||||
Практическое задание 1 Тема 1.1. История возникновения и развития теории вероятностей. Основные понятия теории вероятности. Задачи комбинаторики Вариант 1 1. Найти количество всех четырехзначных чисел, которые можно составить из цифр 1, 5, 6, 7. 2. Найти число способов, которыми семь книг разных авторов можно расставить на полке в один ряд. 3. Сколько существует всех семизначных телефонных номеров, в каждом из которых ни одна цифра не повторяется? 4. Сколькими способами можно выбрать 3 книжки из 5? Вариант 2 1. Сколько трехзначных чисел можно составить из цифр 0, 1, 2, 3, 4, 5, если ни одна цифра не повторяется дважды? 2. Сколько трехзначных чисел можно составить из цифр 1, 2, 3, если каждая цифра входит в изображение числа только один раз? 3. Найти число способов провести выборы старосты и профорга в группе из 30 человек. 4. Сколькими способами можно выбрать трех человек из 30? Вариант 3 1. Найти количество трехзначных четных чисел, которые можно составить из цифр 0, 1, 2, 3, 4, 5, 6, если цифры могут повторяться. 2. Сколькими способами можно распределить четыре должности среди четырех сотрудников? 3. Найти число способов составить трехцветный флаг, если есть материя 5 различных цветов. 4. Найти число различных билетов по 3 вопроса, которые можно составить из 60 вопросов. Вариант 4 1. Найти количество двухзначных чисел, имеющих обе четные цифры. 2. Домашнее задание по литературе состоит в том, чтобы выучить одно из трех стихотворений: «Анчар», «Буря» или «Вьюга». Миша, Никита и Олег решили распределить все три стихотворения между собой по одному. Сколько существует способов это сделать? 3. Найти число способов составить трехцветный флаг, если имеется материя 5 различных цветов и одна из полос должна быть красной. 4. Найти число вариантов распределения трех одинаковых путевок среди пяти сотрудников. Вариант 5 1. Сколькими способами могут быть распределены золотая, серебряная и бронзовая медали розыгрыша первенства по футболу среди 16 команд, если любая команда может получить только одну медаль? 2. Сколькими способами можно разложить восемь различных писем по восьми различным конвертам, если в каждый конверт кладется только одно письмо? 3. Сколькими способами можно распределить три различных путевки среди пяти студентов? 4. Найти число экзаменационных комиссий, состоящих из 5 человек, которые можно образовать из 10 преподавателей. Вариант 6 1. Имеется 5 видов конвертов без марок и 4 вида марок одного достоинства. Найти число различных способов выбрать конверт с маркой. 2. На сортировочной станции стоит группа из 5 вагонов 5 назначений. Найти число способов размещения вагонов по этим назначениям. 3. Сколько существует двузначных чисел, в которых цифра десятков и цифра единиц различные и нечетные? 4. Сколькими способами можно из двенадцати человек, играющих в городки, набрать на соревнования команду из четырех человек? Вариант 7 1. На вершину горы ведут пять дорог. Сколькими способами можно подняться на гору и спуститься с нее? Сколько будет способов, если подъем и спуск проходят по разным дорогам? 2. В автосервис одновременно приехали 4 машины для ремонта. Сколько существует способов выстроить их в очередь для обслуживания? 3. Сколькими способами студент может сдать 3 экзамена на протяжении 7 дней? 4. Сколькими способами можно составить команду на игру из 6 человек из сборной университета по волейболу в 15 человек? Вариант 8 1. Найти число способов выбрать на шахматной доске белый и чёрный квадраты, не лежащие на одной вертикали и горизонтали. 2. Сколько есть способов раздать спортивные номера с 1-го по 5-й пяти хоккеистам? 3. Сколькими способами студент может сдать 3 экзамена на протяжении 7 дней, если известно, что последний экзамен будет сдаваться на седьмой день? 4. Сколько календарных игр в розыгрыше первенства по футболу могут сыграть 16 команд, если любые две команды играют между собой только один матч? Вариант 9 1. Из города А в город В ведут 5 дорог, а из В в С – 3 дороги. Сколько существует путей из А в С, проходящих через В? 2. Несколько человек садятся за круглый стол. Считается, что два способа рассадки совпадают, если каждый человек имеет одних и тех же соседей в обоих случаях. Сколькими способами можно рассадить 5 человек? 3. В урне 10 шаров, помеченных номерами от 1 до 10. Из урны вынимают три раза по шару, записывают номер вынутого шара и возвращают шар в урну. Найти число способов вынуть при этом шары с различными номерами. 4. В урне 10 шаров: 5 белых, 3 синих и 2 красных. Сколькими способами можно вытащить из урны два шара одного цвета? Вариант 10 1. Из 3 экземпляров учебника алгебры, 7 экземпляров учебника геометрии и 7 экземпляров учебника тригонометрии нужно выбрать по одному экземпляру каждого учебника. Найти число различных способов такого выбора. 2. Участники лыжных соревнований стартуют с интервалом в 30 секунд. Чтобы определить порядок старта, спортсмены тянут жребий, определяющий номер старта. Сколько существует различных последовательностей выхода лыжников на старт, если в соревнованиях принимает участие: а) 6 лыжников; б) 8 лыжников? 3. Найти число разных способов, которыми можно пять студентов разместить в аудитории на 20 мест. 4. Из ящика, содержащего 25 деталей, среди которых 5 дефектных, вынимают 6 деталей. Найти число возможностей вытащить при этом 3 дефектных детали.
Практическое задание 2 Тема 1.2. Понятие вероятности события. Классическое, статистическое, геометрическое определения вероятности Задание 2.1 Вариант 1. В группе 25 студентов, из которых 5 учатся отлично, 12 – хорошо, 6 – удовлетворительно и 2 – слабо. Найти вероятность того, что наугад выбранный студент – отличник или хорошист. Вариант 2. Студент выучил 20 вопросов из 25. Найти вероятность того, что ему достанется вопрос, который он не выучил. Вариант 3. Бросаются две монеты. Найти вероятность того, что на одной выпадет герб, а на другой цифра. Вариант 4. Куб, все грани которого окрашены, распилен на 27 кубиков одинакового размера, которые затем тщательно перемешаны. Найти вероятность того, что наудачу извлечённый кубик имеет: а) одну окрашенную грань, б) две окрашенные грани, в) три окрашенные грани. Вариант 5. Монета брошена два раза. Какова вероятность того, что хотя бы один раз появится герб? Вариант 6. Бросается игральная кость. Найти вероятность выпадения на верхней грани двух или шести очков. Вариант 7. Бросаются две игральные кости. Найти вероятность того, что сумма выпавших на верхних гранях очков равна 5. Вариант 8. Брошены две игральные кости. Найти вероятность того, что сумма выпавших на верхних гранях очков равна 5, а их разность равна 3. Вариант 9. В урне 25 шаров: 5 белых, 15 красных, 5 синих. Вынимается 1 шар. Какова вероятность вынуть цветной (красный или синий) шар? Вариант 10. В ящике имеется 50 одинаковых деталей, из них 5 окрашенных. Наудачу вынимают одну деталь. Найти вероятность того, что извлечённая деталь окажется неокрашенной. Задание 2.2 В прямоугольник a×b см2 вписан круг радиусом 1,5 см. Какова вероятность того, что точка, случайным образом поставленная в прямоугольник, окажется внутри круга? Задание 2.3 Для изготовления партии мужских костюмов было закуплено 2200 пуговиц. В результате ревизии в партии из 500 пуговиц было обнаружено N пуговиц с браком. Чтобы не сорвать заказ, необходимо заказать дополнительные пуговицы. Какое наименьшее количество запасных пуговиц необходимо еще заказать, чтобы исключить брак? Округлите результат до наибольшего ближайшего целого числа. N – номер варианта. Задание 2.4 В тарелке N различных фруктов, среди которых – киви и мандарин. Фрукты раскладывают на 3 тарелки поровну. Найдите вероятность того, что киви и мандарин будут лежать на одной тарелке.
Практическое задание 3 Тема 1.3. Теоремы сложения и умножения вероятностей Задание 3.1 В 3 «А» классе a учеников, из которых b учатся только на пятёрки, c – хорошисты, d – троечники и e – неуспевающие ученики. Найти вероятность того, что случайным образом выбранный школьник учится только на пятёрки или хорошист. Задание 3.2 Снайпер делает 5 выстрелов в мишени. Вероятность попадания в мишень при одном выстреле равна a. Найдите вероятность того, что снайпер первые три раза попал в мишени, а последние два промахнулся. Результат округлите до сотых. Задание 3.3 В корзине лежат a одинаковых фруктов, b из них червивые. Маша вынимает из корзины один понравившийся ей фрукт. Какова вероятность того, что вынутый Машей фрукт окажется неиспорченным?
Практическое задание 4 Тема 1.4. Условная вероятность. Формула полной вероятности. Формула Байеса Задание На конвейере производятся детали определенного вида на трех машинах. Первая машина изготавливает n %, вторая k %, третья – z % всех деталей. В их продукции брак составляет соответственно M %, L %, R %. Какова вероятность того, что случайно выбранная деталь окажется бракованной?
Практическое задание 5 Тема 1.5. Формула Бернулли. Асимптотические формулы Задача 5.1 В группе детского сада n малышей. Найти вероятность того, что среди этих малышей: а) два мальчика; б) не более двух мальчиков. Вероятность рождения мальчика равна k. Задание 5.2 Швея шьёт платья. Вероятность того, что платье окажется с браком, равна n. Какова вероятность того, что среди k платьев окажется 5 бракованных? Задание 5.3 Найти вероятность того, что событие А наступит ровно n раз в k испытаниях, если вероятность появления этого события в каждом испытании равна 0,25. Задание 5.4 Вероятность появления события в каждом из 100 независимых испытаний постоянна и равна р. Найти вероятность того, что событие появится не менее n раз и не более k раз.
Практическое задание 6 Тема 2.1. Дискретные случайные величины. Ряд распределения. Характеристики дискретной случайной величины Задача 6.1 В урне n белых и k чёрных шаров. Шары вынимают из урны по одному без возвращения, пока не выберут чёрный шар. Пусть X – число вынутых шаров. Напишите закон распределения для случайной величины X и найдите её математическое ожидание. Задача 6.2 В урне содержатся шары n различных цветов, причём шаров каждого цвета содержится k штук. Шары выбирают из урны по одному, пока среди выбранных не окажется двух шаров одного цвета. Пусть X – число извлечённых при этом шаров. Найдите закон распределения X и M(X). Задача 6.3 Цена лотерейного билета равна 50 руб. Величина выигрыша на один билет X имеет распределение
Саша приобрёл n билетов «Русского лото». Найдите средний выигрыш Саши в ближайшем тираже лотереи, на который он приобрёл билеты. Задача 6.4 Стрелок стреляет в цель, пока не попадёт либо пока не сделает m промахов. Вероятность попасть в цель при одном выстреле равна p. Пусть X – число произведённых выстрелов. Напишите закон распределения для случайной величины X и найдите её математическое ожидание M(X).
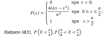
Практическое задание 7 Тема 2.2. Непрерывные случайные величины. Ряд распределения. Характеристики непрерывной случайной величины Задача 7.1 Зона ответственности локатора определяется в полярных координатах неравенствами Задача 7.2 Случайная величина X имеет функцию распределения
Задача 7.3 Случайная величина X имеет функцию распределения
Практическое задание 8 Тема 2.3 Виды распределений Задача 8.1 Вероятность выхода изделия первым сортом равна p. Составить ряд распределения для числа Х – изделий первого сорта из общего числа n изготовленных изделий. Построить ее ряд распределения, многоугольник распределения, найти ее числовые характеристики. Найти вероятность того, что будет не менее m изделий первого сорта. Рекомендации по выполнению задания 8.1 Номер варианта находится по таблице по первой букве фамилии студента.
Задача 8.2 Вариант 1 Из 25 контрольных работ, среди которых 5 оценены на отлично, наугад извлекаются 3 работы. Найти закон распределения дискретной случайной величины Х, равной числу оцененных на отлично работ среди извлеченных. Построить ее ряд распределения, многоугольник распределения, найти ее числовые характеристики. Вариант2 Из 20 контрольных работ, среди которых 6 оценены на отлично, наугад извлекаются 4 работы. Найти закон распределения дискретной случайной величины Х, равной числу оцененных на отлично работ среди извлеченных. Построить ее ряд распределения, многоугольник распределения, найти ее числовые характеристики. Вариант 3 Из 15 контрольных работ, среди которых 7 оценены на отлично, наугад извлекаются 3 работы. Найти закон распределения дискретной случайной величины Х, равной числу оцененных на отлично работ среди извлеченных. Построить ее ряд распределения, многоугольник распределения, найти ее числовые характеристики. Вариант 4 В партии из 11 изделий 5 имеют скрытые дефекты. Наугад выбраны 4 изделия. ДСВ X – число бракованных изделий среди выбранных. Построить ее ряд распределения, многоугольник распределения, найти ее числовые характеристики. Вариант 5 В партии из 15 изделий 7 имеют скрытые дефекты. Наугад выбраны 3 изделия. ДСВ X – число бракованных изделий среди выбранных. Построить ее ряд распределения, многоугольник распределения, найти ее числовые характеристики. Вариант 6 В партии из 10 изделий 6 имеют скрытые дефекты. Наугад выбраны 5 изделия. ДСВ X – число бракованных изделий среди выбранных. Построить ее ряд распределения, многоугольник распределения, найти ее числовые характеристики. Вариант 7 ДСВ Х – число карт трефовой масти среди четырех взятых наугад из колоды карт. Построить ее ряд распределения, многоугольник распределения, найти ее числовые характеристики. Вариант 8 ДСВ Х – число карт трефовой масти среди трех взятых наугад из колоды карт. Построить ее ряд распределения, многоугольник распределения, найти ее числовые характеристики. Вариант 9 В коробке 20 одинаковых клубков ниток, из них – 4 клубка с красными нитками. Наудачу вынимают 2 клубка. ДСВ Х – число клубков с красными нитками. Построить ее ряд распределения, многоугольник распределения, найти ее числовые характеристики. Вариант 10 В коробке 15 одинаковых клубков ниток, из них – 5 клубка с красными нитками. Наудачу вынимают 3 клубка. ДСВ Х – число клубков с красными нитками. Построить ее ряд распределения, многоугольник распределения, найти ее числовые характеристики. Рекомендации по выполнению задания 8.2 Номер варианта находится по таблице по первой букве фамилии студента.
Задача 8.3 Случайная величина Х равномерно распределена в интервале (a; b). Найти: а) дифференциальную и интегральные функции и построить их; б) математическое ожидание, дисперсию и среднее квадратическое отклонение; в) вероятность попадания в интервал (c; d). Рекомендации по выполнению задания 8.3 Номер варианта находится по таблице по первой букве фамилии студента.
Решение может быть представлено в рукописной форме или набрано в текстовом процессоре Microsoft Word версии 2007 и выше.
Практическое задание 9 Тема 2.4. Нормальное распределение Задача 9.1 Случайная величина X имеет плотность распределения вероятностей f(x). Найти: а) M(X) и D(X); б) вероятность того, что X примет значение меньше a; в) вероятность того, что X примет значение больше b; г) вероятность того, что X примет значение в интервале (a; b); д) вероятность того, что абсолютная величина отклонения X от математического ожидания не превысит d. Задача 9.2 Рост девочек в возрасте от 15 до 20 лет есть нормально распределённая случайная величина X с параметрами a см и σ. Какую долю платьев для девочек, имеющих рост от a до b см, нужно предусмотреть в объёме производства для данной возрастной группы. Рекомендации по выполнению задания 9.2 Номер варианта находится по таблице по первой букве фамилии студента.
| |||||||||||||||||||||||||||||||||||||||||||||||||||||||||||||||||||||||||||||||||||||||||||||||||||||||||||||||||||||||||||||||||||||||||||||||||||||||||||||||||||||||||||||||||||||||||||||||||||||||||||||||||||||||||||||||||||||||||||||||||||||||||||||

. В случайной точке зоны ответственности может появиться цель. Расстояние её до локатора – случайная величина X. Считая равновозможными все положения цели в зоне ответственности, найдите функцию распределения случайной величины X и её функцию плотности вероятности. Найдите математическое ожидание и дисперсию этой случайной величины.
