| Общая информация » Каталог студенческих работ » ВЫСШАЯ МАТЕМАТИКА » Высшая математика |
| 03.01.2014, 12:25 | |||||||||||||||||||||||||||||||||||||||||||||||||||||||||||||||||||||||||||||||||||||||||||||||||||||||||||||||||||||||||||||||||||||||||||||||||||||||||||||||||||||||||||||||||||||||||||||||||||||||||||||||||||||||||||||||||||||||||||||||||||||||||||||||||||||||||||||||||||||||||||||||||||||||||||||||||||||||||||||||||||||||||||||||||||||||||||||||||||||||||||||||||||||||||||||||||||||||||||||||||||||||||||||||||
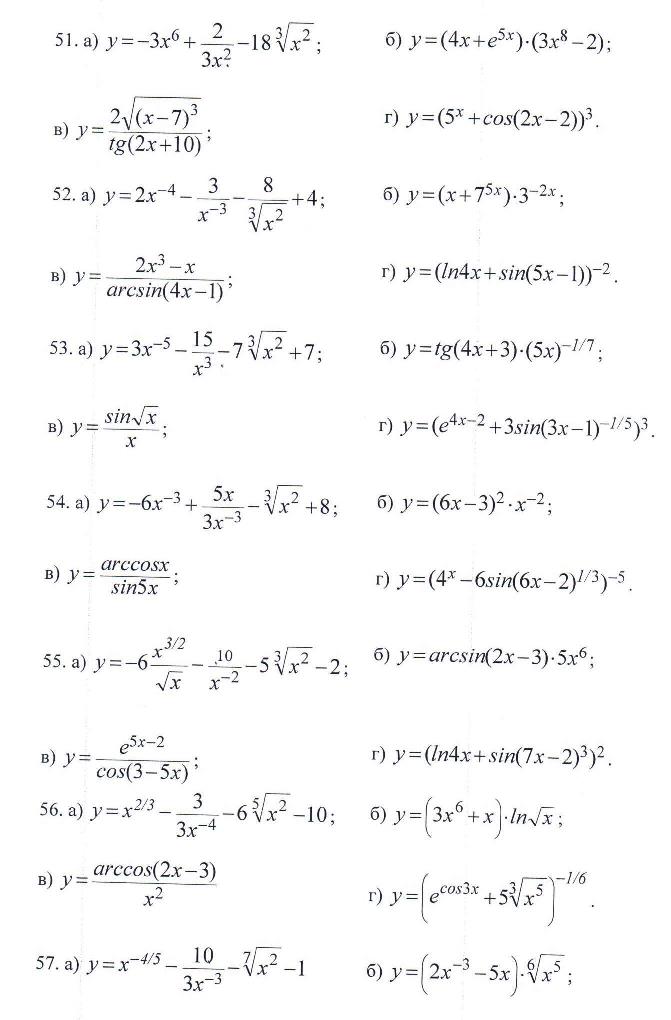
Студент выполняет тот вариант контрольной работы, который совпадает с последней цифрой его учебного шифра (номера паспорта). При этом, если предпоследняя цифра учебного шифра есть число нечетное (1, 3, 5, 7, 9), то номера задач для соответствующего варианта даны в таблице № 1. Если же предпоследняя цифра четная (2, 4, 6, 8, 0), то номера задач даны в таблице № 2. Например, если шифр студента 4328, то он должен выполнять задания варианта 8 из таблицы № 1. Или, если учебный шифр 4286, то он выполняет задания под вариантом 6 из таблицы № 2. Контрольные работы, выполненные с нарушением изложенных правил или выполненные студентом не по своему варианту, не зачитываются и возвращаются без проверки. Таблица № 1
Таблица № 2
Задание № 6. Решить следующие задачи. 101. Три охотника произвели залп по цели. Вероятность поражения цели первым охотником равна 0,7, вторым – 0,8 и третьим - 0,9. Найти вероятность того, что: а) только один из охотников поразит цель; б) все три охотника поразят цель. 102. В клетке находятся кролики пород шиншиллы и короткошерстого. Вероятность того, что кролик окажется породы шиншиллы, равна 0,2. Какова вероятность того, что из 600 наудачу отобранных кроликов, 375 окажутся породы шиншиллы? 103. Вероятность того, что среднегодовой удой молока от одной коровы превзойдет 2500 кг, равна 0,6. какова вероятность того, что 350 из 600 коров фермы дадут за год более, чем по 2500 кг? 104. Известно, что на поле у 2% кустов картофеля стебли поражены фитофторой. Найти вероятность того, что из 300 кустов картофеля этого поля фитофторой будут поражены не более четырех кустов. 105. В ветеринарную лечебницу поступили животные с некоторой болезнью «А», число которых составило 80%. Найти вероятность того, что из 100 поступивших этой болезнью страдают не менее 70 и не более 80 животных. 106. В случайной выборке из 100 клубней картофеля оказалось 80 здоровых. Найти вероятность того, что во всей партии картофеля, содержащей 10000 клубней, окажется здоровых 7900. 107. В среднем на 1 м2 площади посева встречается 0,5 стеблей сорняков. Найти вероятность того, что на 4 м2 не окажется ни одного сорняка. 108. Студент знает 20 из 35 вопросов программы. Какова вероятность того, что он знает: а) только два вопроса из трех, содержащихся в его экзаменационном билете; б) все три вопроса? 109. Вероятность того, что корова найдет свое место в стойле, равна 0,8. Найти вероятность того, что из 200 коров найдут свое место не менее 100 и не более 180. 110. Собранный урожай помидоров сортируют по определенной технологии. Вероятность того, что помидор окажется нужным для сортировки, равна 0,8. Найти вероятность того, что из 400 выбранных помидоров не менее 360 и не более 380 подлежат сортировке. 111. В пяти одинаковых стаканах содержится молоко 3,2%-, 3,5% и 3,8%-ной жирности. В двух из них – молоко 3,2%-, а в одном – 3,5%-ной жирности. Какова вероятность того, что: а) из четырех наугад выбранных стаканов два окажутся с молоком 3,8%-ной жирности; б) не более двух стаканов окажутся с молоком 3,2%-ной жирности? 112. В коробке имеются яйца московских и русских белых пород куриц. Вероятности, того что яйцо будет московской курицы и русской белой, относятся как 3:7. Какова вероятность того, что: а) все три яйца, вынутые из коробки наудачу, окажутся от московских куриц; б) из восьми вынутых пять из них окажутся яйцами русских белых? 113. Отдел контроля зараженности семян проверяет семена на пригодность. Вероятность того, что семя окажется зараженным, равна 0,2. Найти вероятность того, что из 144 семян незараженными окажутся 120. 114. Вероятность того, что откормленный молодняк будет отправлен на мясокомбинат, равна 0,7. Какова вероятность того, что из восьми телят: а) не менее пяти будут отобраны для отправки на мясокомбинат; б) шесть телят будут отправлены на мясокомбинат? 115. Производится взвешивание 2-месячных телят. Вероятность того, что его масса будет не менее 55 кг, равна 0,6. Какова вероятность того, что из 50 телят 45 будут массу, не меньшей 55 кг? 116. В ящике имеется 20 шт. различных биологических добавок для корма телят, из которых 8 шт. изготовлены по новейшей технологии. Найти вероятность того, что наудачу вынутые 3 окажутся добавками новейшей технологии. 117. По оценкам, волк, в одиночку нападающий на лося, добивается успеха в 8% столкновений. Какова вероятность того, что в пяти столкновениях ни один лось не станет добычей волка? 118. Вероятность того, что в стаде мелкого рогатого скота некоторая овца окажется забайкальской породы, равна 0,75. Какова вероятность того, что из 300 овец не менее 210 и не более 225 будут иметь такую породу? 119. На картинке изображены следы лесных зверей: медведя, лисы и белки. Вероятности того, что след принадлежит медведю, лисе и белке, относятся как 3:5:2 соответственно. Какова вероятность того, что из четырех наугад указанных следа три будут медвежьи, а один – лисий. 120. Вероятность выхода из строя доильного аппарата в течение одного рабочего дня, равна 0,01. Какова вероятность того, что: а) за три рабочих дня аппарат ни разу не выйдет из строя; б) из пяти рабочих дней аппарат выйдет из строя не более двух раз? Задание № 7. Закон распределения дискретной случайной величины Х задан в виде таблицы. В первой строке ее указаны возможные значения xi случайной величины Х, во второй – их соответствующие вероятности pi. Вычислить: а) математическое ожидание M(X); б) дисперсию D(X); в) среднее квадратическое отклонение 121.
122.
123.
124.
125.
126.
127.
128.
129.
130.
131.
132.
133.
134.
135.
136.
137.
138.
139.
140.
| |||||||||||||||||||||||||||||||||||||||||||||||||||||||||||||||||||||||||||||||||||||||||||||||||||||||||||||||||||||||||||||||||||||||||||||||||||||||||||||||||||||||||||||||||||||||||||||||||||||||||||||||||||||||||||||||||||||||||||||||||||||||||||||||||||||||||||||||||||||||||||||||||||||||||||||||||||||||||||||||||||||||||||||||||||||||||||||||||||||||||||||||||||||||||||||||||||||||||||||||||||||||||||||||||











. Начертить график закона распределения и показать на нем вычисленные M(X) и D(X).