| Общая информация » Каталог студенческих работ » ВЫСШАЯ МАТЕМАТИКА » Высшая математика |
| 18.02.2026, 10:17 | ||||||||||||||||||||||||||||||||||||||||||||||||||||||||||||||||||||||||||||||||||||||||||||||||||||||||||||||||||||||||||||||||||||||||||||||||||||||||||||||||||||||||||||||||||||||||||||||||||||||||||||||||||||||||||||||||||||||||||||||||||||||||||||||||||||||||||||||||||||||||||||||||||||||||||||||||||||||||||||||||||||||||||||||||||||||||||||||||
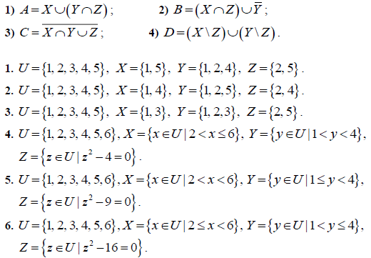
Задания для контрольной работы. 1-10. Даны множества U , X ,Y, Z ⊂ U . Описать перечислением всех элементов множества:
11-20. Даны множества U , A, B,C ⊂ U , где A, B,C совместные множества:
Изобразить (штриховкой) множество D , используя диаграммы Эйлера-Венна.
21-30. Решить комбинаторное уравнение:
31-40. Решить комбинаторную задачу: 31. В партии из 18 деталей находятся 4 бракованных. Наудачу выбирают 5 деталей. В скольких случаях среди них окажутся две бракованных детали? 32. Сколько пятизначных чисел можно составить из цифр 0, 1, 2, 3, 4. 33. В коробке имеются 30 лотерейных билетов, из которых 26 без выигрышей. Наудачу вынимают 4 билета. В скольких случаях среди них окажутся два выигрышных билета. 34. Из 30 студентов 20 имеют спортивные разряды. Наудачу выбирают трёх студентов. В скольких случаях все выбранные студенты не имеют спортивных разрядов? 35. При наборе телефонного номера абонент забыл две последние цифры. Сколько существует способов их набора, если абонент помнит только, что эти цифры нечётные и разные. 36. В скольких случаях при игре в "Спортлото" (угадывание 5 номеров из 36) будут правильно выбраны ровно 3 номера? 37. Среди 25 студентов, из которых 15 девушек, разыгрываются 4 билета в театр, причём каждый может выиграть только один билет. Сколькими способами можно разыграть билеты, чтобы среди обладателей билетов оказались два юноши и две девушки? 38. При наборе телефонного номера абонент забыл три последние цифры. Сколько существует способов их набора, если абонент помнит только, что цифры разные и среди них есть цифра семь? 39. На стеллаже в библиотеке стоят 15 учебников, причём пять среди них в переплёте. Библиотекарь берёт наудачу четыре учебника. В скольких случаях среди них окажутся два учебника в переплёте? 40. При наборе телефонного номера абонент забыл две последние цифры. Сколько существует способов их набора, если абонент помнит только, что одна цифра нечётная, а другая чётная?
41-50. Решить комбинаторную задачу: 41. В урне 2 белых, 3 чёрных и 5 красных шаров. Наудачу (без возвращения) из урны вынимают три шара. Определить: а) сколько всего существует способов выбора? б) в скольких случаях все вынутые шары имеют разный цвет? в) в скольких случаях все вынутые шары имеют один цвет? 42. В городе находятся 15 продовольственных и 5 непродовольственных магазинов. Наудачу для приватизации были отобраны три магазина. Определить: а) сколько всего существует способов отбора? б) в скольких случаях среди отобранных будут только непродовольственные магазины? в) в скольких случаях среди отобранных будет не менее двух продовольственных магазинов? 43. В магазине имеются 10 женских и 6 мужских шуб. Для анализа качества отобраны наудачу три шубы. Определить: а) сколько всего существует способов отбора? б) в скольких случаях среди них окажется две женские шубы и одна мужская шуба? в) в скольких случаях среди них окажутся только мужские или только женские шубы? 44. Магазин получил продукцию в ящиках с четырёх оптовых складов: четыре с первого, пять со второго, семь с третьего и четыре с четвёртого. Наудачу для продажи выбраны два ящика. Определить: а) сколько всего существует способов выбора? б) в скольких случаях среди них окажутся только ящики с первого склада или только ящики с третьего склада? в) в скольких случаях среди них окажутся по одному ящику со второго и четвёртого складов? 45. В коробке 5 красных, 3 зелёных и 2 синих карандаша. Наудачу извлекают три карандаша. Определить: а) сколько всего существует способов извлечения? б) в скольких случаях среди них окажется один синий карандаш? в) в скольких случаях среди извлечённых карандашей в точности два одного цвета? 46. Из колоды в 36 карт извлекают наудачу 4 карты. Определить: а) сколько всего существует способов выбора? б) в скольких случаях среди них окажется два туза? в) в скольких случаях среди них окажется дама и два короля? 47. На пяти карточках написаны цифры 0, 1, 2, 3, 4. Опыт состоит в случайном выборе трёх карточек и раскладывании их в порядке поступления в ряд слева направо. Определить: а) сколько всего можно получить трёхзначных чисел? б) в скольких случаях среди них окажется число, начинающееся с цифры 1? в) в скольких случаях среди них окажется нечётное число? 48. В денежно-вещевой лотерее на каждые 1000 билетов приходится 12 денежных и 8 вещевых выигрышей. Наудачу приобретены три билета. Определить: а) сколько всего существует способов выбора? б) в скольких случаях среди приобретённых билетов окажется два выигрышных билета? в) в скольких случаях среди приобретённых билетов окажется два билета с денежным выигрышем и один билет с вещевым выигрышем? 49. В первой урне 5 красных, 3 белых и 2 чёрных шара. Во второй 3 белых и 2 чёрных шара. Из первой урны выбраны 2 шара, а из второй один. Определить: а) сколько всего существует способов выбора? б) в скольких случаях среди них окажутся все шары одного цвета? в) в скольких случаях среди них окажутся все шары разного цвета? 50. Собрание, на котором присутствует 15 человек, в том числе 5 женщин, выбирает делегацию из трёх человек. Определить: а) сколько всего существует способов выбора? б) в скольких случаях среди них окажутся два мужчины и одна женщина? в) в скольких случаях среди них окажутся одни мужчины или одни женщины?
51-60. Решить задачу методом включений и исключений. 51. В аудитории находятся студенты, знающие хотя бы один из трёх языков. Английский знают 6 человек, немецкий – 6, французский – 7. Английский и немецкий знают 4 человека, немецкий и французский – 3, французский и английский – 2. Все три языка знает 1 человек. Сколько человек находится в аудитории? Сколько человек в аудитории знает только английский язык? 52. В аудитории находятся студенты, знающие хотя бы один из трёх языков. Английский знают 6 человек, немецкий – 6, французский – 7. Английский и немецкий знают 4 человека, немецкий и французский – 3, французский и английский – 2. Все три языка знает 1 человек. Сколько человек находится в аудитории? Сколько человек в аудитории знает только французский язык? 53. В аудитории находятся студенты, знающие хотя бы один из трёх языков. Английский знают 6 человек, немецкий – 6, французский – 7. Английский и немецкий знают 4 человека, немецкий и французский – 3, французский и английский – 2. Все три языка знает 1 человек. Сколько человек находится в аудитории? Сколько человек в аудитории знает только немецкий язык? 54. При обследовании читательских вкусов студентов оказалось, что 60% студентов читает журнал А, 50% журнал В, 50% журнал С, 30% журналы А и В, 20% журналы В и С, 40% журналы А и С, 10% журналы А,В и С. Сколько процентов студентов не читает ни один из журналов? Сколько процентов студентов читает только один из журналов? 55. При обследовании читательских вкусов студентов оказалось, что 60% студентов читает журнал А, 50% журнал В, 50% журнал С, 30% журналы А и В, 20% журналы В и С, 40% журналы А и С, 10% журналы А,В и С. Сколько процентов студентов не читает ни один из журналов? Сколько процентов студентов читает не менее двух журналов? 56. В классе 25 учеников. Из них: 12 человек посещают спортивную секцию, 10 – музыкальную школу, 14 –кружок по интересам; 5 человек посещают спортивную секцию и музыкальную школу, 7 человек – музыкальную школу и кружок, 6 человек – спортивную секцию и кружок; 3 человека не ходят никуда. Сколько человек одновременно ходит в спортивную секцию, музыкальную школу и кружок? Сколько человек посещает только спортивную секцию? 57. В группе 20студентов. На экзаменах по истории, математике и физике: 10 человек не получили ни одной оценки «отлично»; оценку «отлично» получили 6 человек по истории, 5 человек – по математике, 4 человека – по физике, по истории и математике 2 человека, по истории и физике – 2 человека, по математике и физике – 2 человека. Сколько студентов получили оценку «отлично» по всем предметам? Сколько студентов получили «отлично» только по одному из предметов? 58. В аудитории находятся студенты, знающие хотя бы один из трёх языков. Английский знают 7 человек, немецкий – 6, французский – 6. Английский и немецкий знают 2 человека, немецкий и французский – 3, французский и английский – 4. Все три языка знает 1 человек. Сколько человек находится в аудитории? Сколько человек в аудитории знает только английский язык? 59. В аудитории находятся студенты, знающие хотя бы один из трёх языков. Английский знают 7 человек, немецкий – 6, французский – 6. Английский и немецкий знают 2 человека, немецкий и французский – 3, французский и английский – 4. Все три языка знает 1 человек. Сколько человек находится в аудитории? Сколько человек в аудитории знает только французский язык? 60. В аудитории находятся студенты, знающие хотя бы один из трёх языков. Английский знают 7 человек, немецкий – 6, французский – 6. Английский и немецкий знают 2 человека, немецкий и французский – 3, французский и английский – 4. Все три языка знает 1 человек. Сколько человек находится в аудитории? Сколько человек в аудитории знает только немецкий язык?
61-70. Составить таблицы истинности для формул логики высказываний:
71-80. Булеву функцию f (x1 , x2 , x3) , заданную формулой логики высказываний записать: а) в виде формулы в СДНФ (совершенной дизъюнктивной нормальной форме); б) в виде формулы в СКНФ (совершенной конъюнктивной нормальной форме); в) в виде формулы в минимальной ДНФ (методом минимизирующих карт).
81-90. Функция проводимости контактной схемы задана булевой функцией f (x, y, z) . Требуется по функции проводимости построить контактную схему и упростить её, используя метод минимизирующих карт. Изобразить исходную и упрощённую контактные схемы.
91-100. Графы G1 и G2 заданы матрицами смежности A(G1) , A(G2) .Требуется: а) изобразить графы G1 и G2 , заданные матрицами смежности; б) найти матрицу смежности графа G1 ∪ G2 и изобразить его; в) найти матрицу смежности графа G1 ∩ G2 и изобразить его.
Таблица номеров выполняемых заданий.
Номер варианта соответствует номеру студента в списке группы. | ||||||||||||||||||||||||||||||||||||||||||||||||||||||||||||||||||||||||||||||||||||||||||||||||||||||||||||||||||||||||||||||||||||||||||||||||||||||||||||||||||||||||||||||||||||||||||||||||||||||||||||||||||||||||||||||||||||||||||||||||||||||||||||||||||||||||||||||||||||||||||||||||||||||||||||||||||||||||||||||||||||||||||||||||||||||||||||||||












