| Общая информация » Каталог студенческих работ » ВЫСШАЯ МАТЕМАТИКА » Высшая математика |
| 15.04.2014, 12:09 | ||||||||||||||||||||||||||||||||||||||||||||||||||||||||||||||||||||||||||||||||||||||||||||||||||||||||||||||||||||||||||||||||||||||||||||||||||||||||||||||||||||||||||||||||||||||||||||||||||||||||||||||||||||||||||||||||||||||||||||||||||||||||||||||||||||||||||||||||||||||||||||||||||||||||||||||||||||||||||||||||||||||||||||||||||||||||||||||||||||||||||||||||||||||||||||||||||||||||||||||||||||||||||||||||||||||||||||||||||||||||||||||||||||||||||||||||||||||||||||||||||||||||||||||||||||||||||||||||||||||||||||||||||||||||||||||||||||||||||||||||||||||||||||||||||||||||||||||||||||||||||||||||||||||||||||||||||||||||||||||||||||
ПКЗ оформляется в Microsoft Word. Промежуточные выкладки можно опустить и не набирать, но обязательно дать обоснования полученных ответов. Например, в точке х=3 функция имеет разрыв первого рода, т.к. предел слева равен 4, а предел справа равен 10. Выбор варианта осуществляется по приведенной ниже таблице. В первом столбце найдите свой номер в списке группы или в списке ЭЛЕКТРОННОЙ ВЕДОМОСТИ. Цифры в строке показывают номера задач из семи предложенных заданий, которые следует решить. Например, первый в списке решает 1-ю задачу из первого задания, 3-ю — из второго, 2-ю — из третьего и т. д.
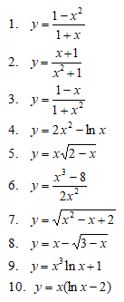
1. Найти участки возрастания и убывания функций, классифицировать точки экстремума
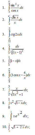
2. Найти определенные интегралы
3. Выполнить умножение матриц АВ–1С
4.Теория вероятности (события) 1. Найти вероятность того, что четырехзначный номер случайно встреченного автомобиля состоит из одинаковых цифр. 2. В одной комнате находятся четыре девушки и семь юношей. Наудачу выбирают двух человек. Найти вероятность того, что оба они окажутся юношами. 3. В магазин поступило 30 холодильников, 5 из них имеют заводской дефект. Случайным образом выбираются три холодильника. Какова вероятность, что они без дефекта? 4. В фирме 550 работников, 380 из них имеют высшее образование, 412 – среднее специальное образование, у 357 – высшее и среднее специальное образование. Чему равна вероятность того, что случайно выбранный работник не имеет ни высшего, ни среднего специального образования? 5. На каждой из 7 одинаковых карточек напечатана одна из следующих букв: а, г, к, и, н, р, с. Найти вероятность того, что на пяти взятых наугад и расположенных в ряд карточки можно будет прочитать слово "книга". 6. В соревнованиях по бегу участвуют 20 перворазрядников и 5 мастеров спорта. На стартовую позицию наугад последовательно вызываются два участника. Найти вероятность того, что оба участнику соревнований мастера спорта. 7. Преступник знает, что шифр сейфа составлен из цифр 1, 3, 7, 9, но не знает, в каком порядке их набирать. Какова вероятность того, что первые две цифры он набрал верно? 8. Десять различных книг расставляются наудачу на одной полке. Найти вероятность того, что 3 определенные книги окажутся поставленными рядом. 9. В урне 9 белых и 6 черных шаров, Из урны вынимают 2 шара. Какова вероятность того, что оба шара окажутся белыми? 10. В учебную группу выделили 9 книг, из которых 6 справочников. Найти вероятность того, что среди 5 взятых наугад книг ровно 3 справочника. 5. Теория вероятности (случайные величины) 1. Составить закон распределения числа королей среди четырех взятых наугад из колоды карт. Построить многоугольник распределения. Найти математическое ожидание и дисперсию случайной величины. 2. Составить закон распределения числа карт трефовой масти среди четырех взятых наугад из колоды карт. Построить многоугольник распределения. Найти математическое ожидание и дисперсию случайной величины. 3. Составить закон распределения числа карт красных мастей среди пяти взятых наугад из колоды карт. Построить многоугольник распределения. Найти математическое ожидание и дисперсию случайной величины. 4. Вероятность того, что стрелок попадет в «десятку», равна 0,5. Составить закон распределения числа попаданий в серии их четырех выстрелов. Построить многоугольник распределения. Найти математическое ожидание и дисперсию случайной величины. 5. Некачественные изделия в поступившей на проверку партии составляют 10% от общего числа. Составить закон распределения числа некачественных изделий среди четырех проверенных. Построить многоугольник распределения. Найти математическое ожидание и дисперсию случайной величины. 6. Вероятность выигрыша по лотерейному билету равна 0,2. Составить закон распределения числа выигрышей среди четырех случайно выбранных билетов. Построить многоугольник распределения. Найти математическое ожидание и дисперсию случайной величины. 7. Составить закон распределения числа выпавших «шестерок» при одновременном бросании четырех игральных кубиков. Построить многоугольник распределения. Найти математическое ожидание и дисперсию случайной величины. 8. К каждому из четырех непонятных вопросов теста предлагаются четыре варианта ответа. Составить закон распределения количества правильно угаданных ответов на непонятные вопросы. Построить многоугольник распределения. Найти математическое ожидание и дисперсию случайной величины. 9. Считается, что вероятность сдачи экзамена на хорошую оценку составляет 60%. Составить закон распределения количества студентов, получивших хорошие оценки, среди четырех случайно выбранных. Построить многоугольник распределения. Найти математическое ожидание и дисперсию случайной величины. 10. В ящике 12 белых и 18 черных шаров. Составить закон распределения количества белых шаров среди четырех, вынутых наугад. Построить многоугольник распределения. Найти математическое ожидание и дисперсию случайной величины. 6. Математическая статистика 1. Проверяющий в течение контрольного периода записывал время ожидания нужного автобуса (в минутах) и получил следующие данные:
Построить интервальную группировку данных по шести интервалам равной длины и соответствующую гистограмму. Найти среднее время ожидания и исправленную дисперсию для выборки. Построить доверительные интервалы надежности 95% и 99% для среднего времени ожидания автобуса. 2. Измерение роста 40 из прибывших в часть новобранцев дало следующие результаты (в сантиметрах):
Построить интервальную группировку данных по шести интервалам равной длины и соответствующую гистограмму. Найти средний рост и исправленную дисперсию для выборки. Построить доверительные интервалы надежности 90% и 95% для среднего роста новобранца. 3. Агент статистической службы посетил 32 продовольственных магазина и записал цену килограмма говядины высшего сорта в каждом из них (в рублях):
Построить интервальную группировку данных по шести интервалам равной длины и соответствующую гистограмму. Найти среднюю цену килограмма говядины и исправленную дисперсию для выборки. Построить доверительные интервалы надежности 95% и 98% для средней цены килограмма мяса. 4. Контролер ОТК взвесил 24 пакета растворимого кофе и записал массу каждого из них (в граммах):
Построить интервальную группировку данных по пяти интервалам равной длины и соответствующую гистограмму. Найти среднюю массу пакета и исправленную дисперсию для выборки. Построить доверительные интервалы надежности 90% и 99% для средней массы пакета. 5. Для оценки необходимых затрат рабочего времени собраны данные о том, сколько минут требуется на оформление однотипных комплектов документов случайно выбранным специалистам (в минутах):
Построить интервальную группировку данных по шести интервалам равной длины и соответствующую гистограмму. Найти среднюю продолжительность оформления комплекта документов и исправленную дисперсию для выборки. Построить доверительные интервалы надежности 90% и 95% для средней продолжительности оформления документов. 6. Контролер ОТК проверил срок службы 40 электрических ламп и получил следующие данные (в часах):
Построить интервальную группировку данных по шести интервалам равной длины и соответствующую гистограмму. Найти средний срок службы лампы и исправленную дисперсию для выборки. Построить доверительные интервалы надежности 95% и 99% для среднего срока службы лампы. 7. Управляющий филиалом банка собрал данные о размере открытых вкладов (в тыс. рублей):
Построить интервальную группировку данных по шести интервалам равной длины и соответствующую гистограмму. Найти средний размер открываемого вклада и исправленную дисперсию для выборки. Построить доверительные интервалы надежности 80% и 95% для среднего размера вклада. 8. В продовольственном магазине в течение месяца собрана информация о числе посетителей в сутки (в тыс. человек):
Построить интервальную группировку данных по пяти интервалам равной длины и соответствующую гистограмму. Найти среднее число посетителей и исправленную дисперсию для выборки. Построить доверительные интервалы надежности 90% и 98% для среднего числа посетителей. 9. Для 40 магазинов одной торговой сети, находящихся в разных населенных пунктах, определена стоимость корзины продуктов первой необходимости (в рублях):
Построить интервальную группировку данных по шести интервалам равной длины и соответствующую гистограмму. Найти среднюю стоимость корзины и исправленную дисперсию для выборки. Построить доверительные интервалы надежности 95% и 99% для стоимости продуктовой корзины. 10. В супермаркете собрана информация о времени ожидания покупателей в очереди (в минутах):
Построить интервальную группировку данных по пяти интервалам равной длины и соответствующую гистограмму. Найти среднее время ожидания в очереди и исправленную дисперсию для выборки. Построить доверительные интервалы надежности 90% и 98% для среднего времени ожидания в очереди. 7. Решить задачу линейного программирования
| ||||||||||||||||||||||||||||||||||||||||||||||||||||||||||||||||||||||||||||||||||||||||||||||||||||||||||||||||||||||||||||||||||||||||||||||||||||||||||||||||||||||||||||||||||||||||||||||||||||||||||||||||||||||||||||||||||||||||||||||||||||||||||||||||||||||||||||||||||||||||||||||||||||||||||||||||||||||||||||||||||||||||||||||||||||||||||||||||||||||||||||||||||||||||||||||||||||||||||||||||||||||||||||||||||||||||||||||||||||||||||||||||||||||||||||||||||||||||||||||||||||||||||||||||||||||||||||||||||||||||||||||||||||||||||||||||||||||||||||||||||||||||||||||||||||||||||||||||||||||||||||||||||||||||||||||||||||||||||||||||||||




