| Общая информация » Каталог студенческих работ » ВЫСШАЯ МАТЕМАТИКА » Высшая математика |
| 14.12.2013, 21:38 | |||||||||||||||||||||||||||||||||||||||||||||||||||||||||||||||||||||||||||||||||||||||||||||||||||||||||||||||||||||||||||||||||||||||||||||||||||||||||||||||||||||||||||||||||||||||||||||||||||||||
I семестр Таблица 1
II семестр Таблица 2
III семестр (для студентов всех специальностей, кроме экономических, гуманитарных и физической культуры) Таблица 3
III семестр Для студентов специальностей экономических, гуманитарных и физической культуры Таблица 4
IV семестр Для студентов всех специальностей, кроме экономических, гуманитарных и физической культуры Таблица 5
*Номера задач в контрольной № 7 только для студентов радиотехнических и электротехнических специальностей.
IV семестр Для студентов специальностей экономических, гуманитарных и физической культуры Таблица 6
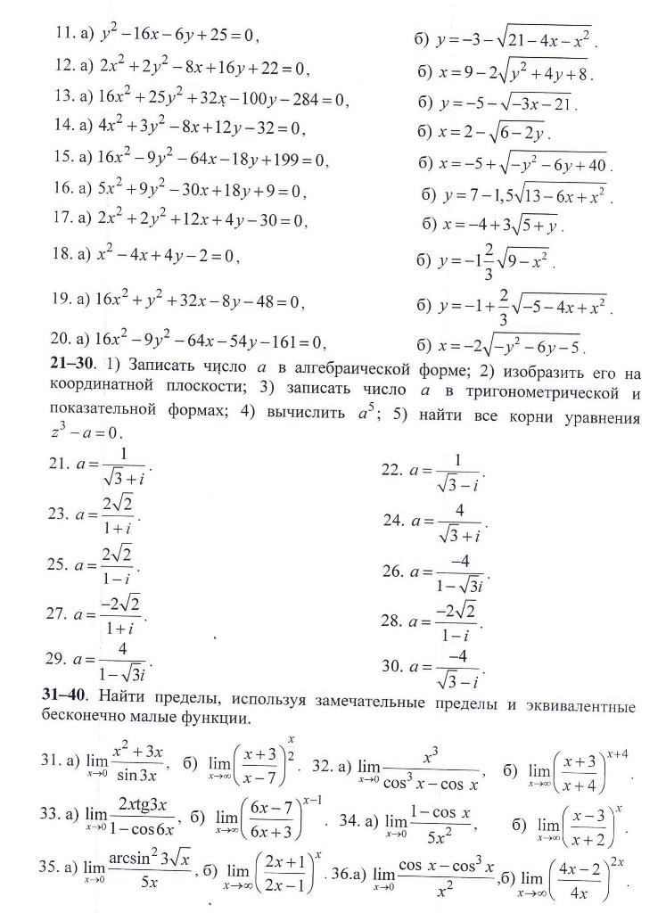
Контрольные задания 1–10. Даны координаты вершин пирамиды А1А2А3А4. Найти: 1) уравнение прямой, на которой лежит ребро А1А2; 2) уравнение плоскости, на которой лежит грань А1А2А3; 3) угол между ребром А1А4 и гранью А1А2А3; 4) площадь грани А1А2А3; 5) объём пирамиды. 1. А1(7, 7, 6), А2(5, 10, 6), А3(5, 7, 12), А4(7, 10, 4). 2. А1(6, 1, 1), А2(4, 6, 6), А3(4, 2, 0), А4(1, 2, 6). 3. А1(8, 7, 5), А2(10, 6, 6), А3(5, 7, 9), А4(8, 11, 8). 4. А1(7, 7, 3), А2(6, 5, 8), А3(3, 5, 8), А4(8, 4, 1). 5. А1(4, 2, 5), А2(0, 7, 2), А3(0, 2, 7), А4(1, 5, 0). 6. А1(4, 4, 10), А2(4, 10, 2), А3(2, 8, 4), А4(9, 8, 9). 7. А1(4, 6, 5), А2(6, 9, 4), А3(2, 10, 10), А4(7, 5, 9). 8. А1(3, 5, 4), А2(8, 7, 4), А3(5, 10, 4), А4(4, 7, 8). 9. А1(10, 6, 6), А2(-2, 8, 2), А3(6, 8, 9), А4(7, 10, 3). 10. А1(2, 9, 3), А2(6, 3, 7), А3(6, 8, 5), А4(5, 11, 10). 11–20. Установить, какие линии определяются данными уравнениями. Изобразить линии на чертеже.
241–250. 241. Три стрелка произвели по одному выстрелу по одной и той же мишени в одинаковых и независимых условиях. Вероятность поражения мишени первым стрелком равна 0,9, вторым – 0,8, третьим – 0,7. Найти вероятность того, что а) только один из стрелков попал в мишень; б) только два стрелка попали в мишень; в) все три стрелка попали в мишень. 242. В лотерее разыгрываются 10 билетов, из которых 5 выигрышных. Найти вероятность того, что среди 3 наудачу взятых билетов все оказались выигрышными. 243. В двух урнах находятся шары, отличающиеся только цветом. В первой урне – 5 белых, 11 чёрных и 8 красных шаров, во второй – соответственно 10, 8 и 6. Из каждой урны извлекают по одному шару. Найти вероятность того, что оба шара окажутся одного цвета. 244. В коробке 5 изделий, из которых 3 бракованные. Наудачу извлекаются 2 изделия. Найти вероятность того, что среди них окажется хотя бы одно бракованное изделие. 245. Студент знает ответы на 45 из 60 вопросов программы. Каждый экзаменационный билет содержит три вопроса. Найти вероятность того, что студент, взявший экзаменационный билет ответит: а)на все три вопроса; б) на два вопроса из трёх; в) только на один вопрос экзаменационного билета. 246. Для производственной практики 20 студентам предоставлено 15 мест в Екатеринбурге и 5 – в Челябинске. Найти вероятность того, что два определённых студента попадут на практику в один город. 247. Два стрелка произвели по одному выстрелу по одной и той же мишени в одинаковых и независимых условиях. Вероятность поражения мишени первым стрелком равна 0,7, вторым – 0,8. Найти вероятность того, что а) мишень поражена; б) мишень поражена только одним из стрелков; в) мишень поражена дважды. 248. Экспедиция отправила газеты в два почтовых отделения. Вероятность своевременной доставки газет в каждое отделение равна 0,9. Найти вероятность того, что а) оба почтовых отделения получат газеты вовремя; б) только одно почтовое отделение получит газеты вовремя; в) хотя бы одно почтовое отделение получит газеты вовремя. 249. На 12 человек выделили путёвки в 4 дома отдыха: 3 путёвки в первый дом отдыха, 3 – во второй, 2 – в третий и 4 – в четвёртый. Найти вероятность того, что 3 определённых человека поедут в один дом отдыха. 250. Для аварийной сигнализации установлены три независимо работающих устройства. Вероятность того, что при аварии сработает первое устройство, равна 0,9, второе – 0, 95, третье – 0,85. Найти вероятность того, что при аварии сработает а) только одно устройство; б) только два устройства; в) все три устройства.
| |||||||||||||||||||||||||||||||||||||||||||||||||||||||||||||||||||||||||||||||||||||||||||||||||||||||||||||||||||||||||||||||||||||||||||||||||||||||||||||||||||||||||||||||||||||||||||||||||||||||




















